全部版块 我的主页
论坛 经济学论坛 三区 宏观经济学
2893 9
2013-06-18
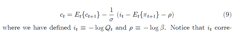
1.png


为什么根据rastila版主大大对数线性化方法的NOTE,不可能还留下logβ的啊???这是为什么???
二维码

扫码加我 拉你入群

请注明:姓名-公司-职位

以便审核进群资格,未注明则拒绝

全部回复
2013-6-19 00:23:10
这是我一直都没弄懂的地方,根据Gali书上的方法,确实还能剩个beta,但是按照取微分的方法,那个beta就不见了。你还是按照教材上的方法来吧,把所有变量放到等式一边,然后另外一边是1。 然后对两边取对数,再取指数,这个过程能保持等式状态。然后再对变量那边泰勒一次展开。
二维码

扫码加我 拉你入群

请注明:姓名-公司-职位

以便审核进群资格,未注明则拒绝

2013-6-19 14:59:07
rastila 发表于 2013-6-19 00:23
这是我一直都没弄懂的地方,根据Gali书上的方法,确实还能剩个beta,但是按照取微分的方法,那个beta就不见 ...
那你的note里Uhlig的方法不能随便用了么?
二维码

扫码加我 拉你入群

请注明:姓名-公司-职位

以便审核进群资格,未注明则拒绝

2013-6-19 17:47:06
看看
二维码

扫码加我 拉你入群

请注明:姓名-公司-职位

以便审核进群资格,未注明则拒绝

2013-6-20 12:31:27
rastila 发表于 2013-6-19 00:23
这是我一直都没弄懂的地方,根据Gali书上的方法,确实还能剩个beta,但是按照取微分的方法,那个beta就不见 ...
一种是对数化,一种是对数利差化。
二维码

扫码加我 拉你入群

请注明:姓名-公司-职位

以便审核进群资格,未注明则拒绝

2013-6-20 14:50:46
iooo 发表于 2013-6-20 12:31
一种是对数化,一种是对数利差化。
很多模型都是混着这两种形式的方程用,这样模型的解释一样么?
二维码

扫码加我 拉你入群

请注明:姓名-公司-职位

以便审核进群资格,未注明则拒绝

点击查看更多内容…
相关推荐
栏目导航
热门文章
推荐文章

说点什么

分享

扫码加好友,拉您进群
各岗位、行业、专业交流群