全部版块 我的主页
论坛 经济学论坛 三区 宏观经济学
7086 18
2013-12-21
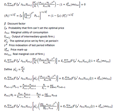
之前收到论坛里面一位同学的求助,请教SW(2003) CEE(2005)中价格和工资方程线性化的推导的问题,很抱歉,因为一直很忙,没能解答这位同学的问题,今天抽个时间写了个简单的推导过程,希望能对大家有所帮助。相信大部分人对推导两个关于价格的最优条件这一步都没问题。 1.PNG
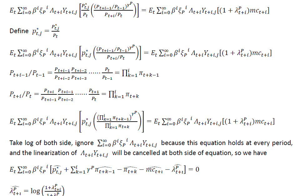
定义一个新变量,然后把最优条件中的价格写成通胀连续累乘的形式,沿减号把方程写到两边,取对数,因为两边的大求和好在每期都成立,所以可以先不用管它,而且边际效用和产出两项两边都一样,这两个变量是不用线性化的,就是做了,最后两边也一样,都可以消掉。这样,因为都是乘法关系,取对对数后写开直接就得到线性化后的变量,累乘的通胀变成累加的形式,所以会出现二次大求和,整理一下,得到
2.PNG
然后把两个大求和号加到一起,注意别把求和号的index搞错了就好
3

然后线性化price‘s law of motion
4.PNG

把最后两个方程带回去,整理就得到最后线性化的通胀的动态方程

最后那个shock项的系数整合到这一项里面去了。工资通胀的那个方程线性化推导和这个差不多一个原理~~


附件列表
6.PNG

原图尺寸 31.06 KB

6.PNG

5.PNG

原图尺寸 30.66 KB

5.PNG

4.PNG

原图尺寸 26.45 KB

4.PNG

3.PNG

原图尺寸 25.82 KB

3.PNG

2.PNG

原图尺寸 51.87 KB

2.PNG

2.PNG

原图尺寸 51.2 KB

2.PNG

1.PNG

原图尺寸 34.17 KB

1.PNG

1.PNG

原图尺寸 36.41 KB

1.PNG

SW(2003) CEE(2005) inflation dynamics.pdf

大小:230.44 KB

 马上下载

有两个角标写错了

SW(2003) CEE(2005) inflation dynamics.pdf

大小:229.09 KB

 马上下载

这个应该没问题了

二维码

扫码加我 拉你入群

请注明:姓名-公司-职位

以便审核进群资格,未注明则拒绝

全部回复
2013-12-21 12:14:53
二维码

扫码加我 拉你入群

请注明:姓名-公司-职位

以便审核进群资格,未注明则拒绝

2013-12-21 14:47:04
不错,不错!

可惜,中间有一步一直就错了,幸亏结果是对的。在正文的第二段末尾“所以会出现二次大求和,整理一下,得到”下面,‘so we have'这个式子有点问题。那个连加后面少了括号了。应该是忘了,否则后面进行迭代的时候就不会出现所要的结果了。小小地修改一下吧。
二维码

扫码加我 拉你入群

请注明:姓名-公司-职位

以便审核进群资格,未注明则拒绝

2013-12-21 15:01:22
不错
二维码

扫码加我 拉你入群

请注明:姓名-公司-职位

以便审核进群资格,未注明则拒绝

2013-12-21 17:47:39
好厉害啊啊
二维码

扫码加我 拉你入群

请注明:姓名-公司-职位

以便审核进群资格,未注明则拒绝

2013-12-21 19:30:24
richardgu26 发表于 2013-12-21 14:47
不错,不错!

可惜,中间有一步一直就错了,幸亏结果是对的。在正文的第二段末尾“所以会出现二 ...
确实是,忘了括号了,失误失误,谢谢您的指点。
二维码

扫码加我 拉你入群

请注明:姓名-公司-职位

以便审核进群资格,未注明则拒绝

点击查看更多内容…
相关推荐
栏目导航
热门文章
推荐文章

说点什么

分享

扫码加好友,拉您进群
各岗位、行业、专业交流群