经管之家App
让优质教育人人可得
立即打开
全部版块
我的主页
›
论坛
›
经济学论坛 三区
›
微观经济学
说明负指数和幂指数效用函数的投资者对风险资产的投资态度,并证明?
楼主
rawdj
3203
3
收藏
2013-12-23
悬赏
5
个论坛币
未解决
如题。江湖救急。快速求指点。
扫码加我 拉你入群
请注明:姓名-公司-职位
以便审核进群资格,未注明则拒绝
全部回复
沙发
falelang
2013-12-23 22:21:07
负指数和幂指数的效用函数有很多呢,假设u''<0(风险回避),也就是对于指数是在0~1之间的这类效用函数,那么如果表现出DARA(绝对风险规避递减),那么当他的财富水平提高时,会购买更多的风险资产
还是我想多了?只是让判断风险偏好还是风险回避?
扫码加我 拉你入群
请注明:姓名-公司-职位
以便审核进群资格,未注明则拒绝
藤椅
falelang
2013-12-23 22:29:18
你看看这个的,可能会有启发
扫码加我 拉你入群
请注明:姓名-公司-职位
以便审核进群资格,未注明则拒绝
板凳
apucng
2013-12-25 20:26:54
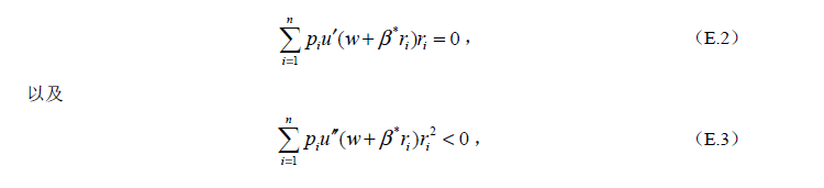
应该是负指数效用函数和幂函数吧,一个是常绝对风险厌恶,一个是常相对风险厌恶,具体如下图
可参考Pennacchi第一章,或者王江书上也有证明
附件列表
QQ图片20131225202311.jpg
原图尺寸 89.2 KB
扫码加我 拉你入群
请注明:姓名-公司-职位
以便审核进群资格,未注明则拒绝
相关推荐
求解关于效用函数的问题
请教一道效用函数题
请教一题,关于一阶最优条件
关于投资者效用函数的问题
求助两道效用函数与确定性等价的题目
求大神速度解答
求效用函数
求助一道关于资产配置,投资者效用函数的习题
效用函数
效用函数推导
栏目导航
微观经济学
stata专版
行业分析报告
经管文库
文献求助专区
数据交流中心
热门文章
你的SSCI发表焦虑,AI真的能懂吗?——一篇 ...
CDA数据分析脱产就业班于2025年08月02日开班 ...
数生万物,转型之本:数据资产运营白皮书-毕 ...
Machine-Learning-Tom-M.-Mitchell中文版.p ...
2025年中国城市可信数据空间行业研究报告
十四五能源发展成就报告
生成式人工智能应用发展报告(2025)
上海黄金及贵重金属月、日交易文件2002-202 ...
全球世界各国地区黄金储备量2000-2050831季 ...
《2025年度国产AI芯片产业白皮书》
推荐文章
AI狂潮席卷学术圈,不会编程也能打造专属智 ...
10月重磅来袭|《打造Coze/Dify专属学术智能 ...
最快1年拿证,学费不足5W!热门美国人工智能 ...
关于如何利用文献的若干建议
关于学术研究和论文发表的一些建议
关于科研中如何学习基础知识的一些建议 (一 ...
一个自编的经济学建模小案例 --写给授课本科 ...
AI智能体赋能教学改革: 全国AI教育教学应用 ...
2025中国AIoT产业全景图谱报告-406页
关于文献求助的一些建议
说点什么
分享
微信
QQ空间
QQ
微博
扫码加好友,拉您进群
各岗位、行业、专业交流群