apoda 发表于 2014-1-16 15:34 
假设两个时期的Q和L如下:
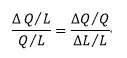
第二个公式对的。
通过lZ举得这个例子就可以知道问题出在哪里了。
首先,第二的式子是对的,我把△L=L2-L1展开算了一下,是可以证明出来的。
lz 的问题出在了没有没有明白第一个公式中△L与△Q的意思。第一个公式其实应该写成这样,d(Q/L)/(Q/L)=dQ/Q-dL/L,其中d(Q/L),dQ,dL都是他们分别对时间t的导数。这个公式的证明很简单,只要对Q/L取对数后对时间t求导就可以证明。 lz 所写的表达式,实质上是用△代替了d,这样做本来无可厚非,因为可以便于理解。△X代表的实际值,是实实在在的一段距离,dX是一个不存在的值,是一个段估计出来的距离。lz的第一个式子只是为了理解的方便用实际存在的△代替了d,但是要计算正确,恐怕必须还原到微分的表达才行。lz的第二个式子才是如果要使用实际的△的正确的表达。