全部版块 我的主页
论坛 金融投资论坛 六区 金融学(理论版) 金融工程(数量金融)与金融衍生品
1493 9
2014-01-12
悬赏 40 个论坛币 已解决
Capture1.PNG
Capture.PNG
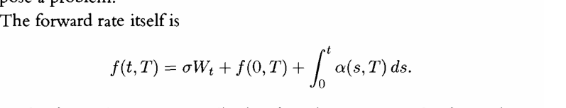
请教differentiation(里面几个关于derivative of a stochastic process 完全不会做啊)?好心人解答下吧...


最佳答案

Chemist_MZ 查看完整内容

true. if X(t)=∫(0 to t) Wsds dX(t)=Wtdt
二维码

扫码加我 拉你入群

请注明:姓名-公司-职位

以便审核进群资格,未注明则拒绝

全部回复
2014-1-12 16:00:26
dabaozi 发表于 2014-1-13 02:16
对不起啊,可能我没表述清楚,,,
true.

if X(t)=∫(0 to t) Wsds

dX(t)=Wtdt
二维码

扫码加我 拉你入群

请注明:姓名-公司-职位

以便审核进群资格,未注明则拒绝

2014-1-12 20:26:44
令Xt是Zt=exp-(###)里的###
用半鞅的Ito公式
dZt=-Zt*dXt+1/2Zt*d[Xt,Xt]

点到为止,无所依靠,才能加法潜能
二维码

扫码加我 拉你入群

请注明:姓名-公司-职位

以便审核进群资格,未注明则拒绝

2014-1-13 00:44:05
xuruilong100 发表于 2014-1-12 20:26
令Xt是Zt=exp-(###)里的###
用半鞅的Ito公式
dZt=-Zt*dXt+1/2Zt*d[Xt,Xt]
大哥,,,这个我知道啊,,,我不会的是怎么对ito的积分求导啊(比如对那个维纳过程的积分求导怎么做啊)
二维码

扫码加我 拉你入群

请注明:姓名-公司-职位

以便审核进群资格,未注明则拒绝

2014-1-13 00:46:12
You can refer to Ito Lemma (under brownian motion). This is the fundamental tool of stochastic calculus.

best,



二维码

扫码加我 拉你入群

请注明:姓名-公司-职位

以便审核进群资格,未注明则拒绝

2014-1-13 01:08:04
计算dXt直接套Ito
计算d[Xt,Xt]请参考《随机分析学基础(第二版)》定理12.9
二维码

扫码加我 拉你入群

请注明:姓名-公司-职位

以便审核进群资格,未注明则拒绝

点击查看更多内容…
相关推荐
栏目导航
热门文章
推荐文章

说点什么

分享

扫码加好友,拉您进群
各岗位、行业、专业交流群