全部版块 我的主页
论坛 经济学论坛 三区 微观经济学 经济金融数学专区
27249 8
2008-02-17
关于VaR模型的失败检验法其中之一是Kupiec1995年提出的失败频率检验法,他提出了一个LR检验法,比如他本人给出样本为255个样本点下,95%置信度下VaR的失败次数区间为[6,21]。但在任意样本数任意置信度下,如何计算这个失败次数区间?
二维码

扫码加我 拉你入群

请注明:姓名-公司-职位

以便审核进群资格,未注明则拒绝

全部回复
2008-2-17 23:37:00

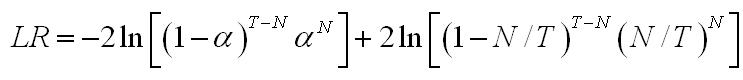
Kupiec1995年提出的失败频率检验法是把实际损失超过VaR计为失败,把实际损失低于VaR的计为成功。则失败与否的观察的可视为一系列独立的贝努里试验,因此,检验模型的准确性相当于检验失败率等于特定概率的零假设。

这样VaR模型的准确性评估就转化为检验失败频率是否显著不同于给的的(1-置信度)。为此,Kupiec提出用LR检验,而LR检验是似然比率检验。 193123.jpg

LR统计量在零假设下,服从自由度为1的开平方分布。

因此,通过开平方分布的置信区间及LR统计量的公式可以求出任意置信度下的失败率的区间,再乘以样本点数可以计算出在任意样本数任意置信度下,如何计算这个失败次数区间。


[此贴子已经被作者于2008-2-17 23:55:19编辑过]

附件列表
193121.jpg

原图尺寸 6.78 KB

193121.jpg

193122.jpg

原图尺寸 8.29 KB

193122.jpg

二维码

扫码加我 拉你入群

请注明:姓名-公司-职位

以便审核进群资格,未注明则拒绝

2011-5-4 15:55:07
问一下,何谓失败呢?
二维码

扫码加我 拉你入群

请注明:姓名-公司-职位

以便审核进群资格,未注明则拒绝

2011-5-4 16:08:14
给出的两个LR的公式为何不一样~p=1-a的吧~
二维码

扫码加我 拉你入群

请注明:姓名-公司-职位

以便审核进群资格,未注明则拒绝

2012-5-6 10:44:33
请问楼主现在懂了吗?同求指导!
二维码

扫码加我 拉你入群

请注明:姓名-公司-职位

以便审核进群资格,未注明则拒绝

2012-6-20 16:44:01
hwak 发表于 2008-2-17 23:37
Kupiec1995年提出的失败频率检验法是把实际损失超过VaR计为失败,把实际损失低于VaR的计为成功。则失败与否 ...
求失败区间要解一个有超越函数的不等式,怎么解?
二维码

扫码加我 拉你入群

请注明:姓名-公司-职位

以便审核进群资格,未注明则拒绝

点击查看更多内容…
相关推荐
栏目导航
热门文章
推荐文章

说点什么

分享

扫码加好友,拉您进群
各岗位、行业、专业交流群