全部版块 我的主页
论坛 提问 悬赏 求职 新闻 读书 功能一区 经管百科 爱问频道
1005 0
2014-03-02
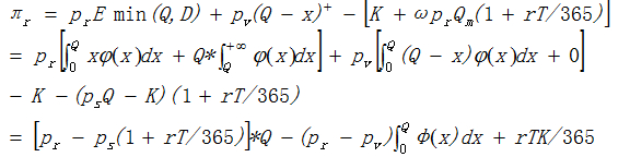
pr = 40;ps = 35;pv = 10;r = 0.05;T = 90;K = 10000;mu = 200;sigma = 10;将如图所示的利润函数画出图像在(0,400)区间上。其中的积分符号内的函数式符合正态分布的市场需求x的累积分布函数,用matlab的语句是normcdf(x,200,10),我想求的积分结果的代码是int(normcdf(x,200,10),x,0,Q)。但是我得到的结果总是什么conversion to double from syms is not possible。我对这个软件刚学不久,不太熟悉求大神指教。 H[}P)7WY28G(VLH(6FOATDV.jpg


二维码

扫码加我 拉你入群

请注明:姓名-公司-职位

以便审核进群资格,未注明则拒绝

相关推荐
栏目导航
热门文章
推荐文章

说点什么

分享

扫码加好友,拉您进群
各岗位、行业、专业交流群