经管之家App
让优质教育人人可得
立即打开
全部版块
我的主页
›
论坛
›
提问 悬赏 求职 新闻 读书 功能一区
›
悬赏大厅
garchpred预测与手算结果不一样
楼主
pianyutou
2400
1
收藏
2014-04-04
悬赏
10
个论坛币
未解决
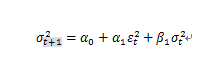
请问为什么matlab中使用garchpred预测的sigma和自己手动预测的sigma
的结果不一样?差不少。
谢谢!
捕获.PNG
原图尺寸 914 Bytes
扫码加我 拉你入群
请注明:姓名-公司-职位
以便审核进群资格,未注明则拒绝
全部回复
沙发
Jada16
2014-4-15 17:15:32
同问。同时请问楼主该如何手算garch(1,1) forecast 的波动率结果?? 跪求。。感谢!!
扫码加我 拉你入群
请注明:姓名-公司-职位
以便审核进群资格,未注明则拒绝
相关推荐
[求助]garch(1,1)出现错误
大人们看看我编的GARCH程序出错在哪了?
matlab中garch工具箱里的garchpred函数用于预测的问题
小女子急问一道GARCH 模型的题目!救命的!
求教关于VAR——GARCH的问题!
garch的MLE 估计 初始值怎么设定
求助,二元GARCH 软件
R中有关于GARCH的程序包吗?
在做e—garch的时候有系数显著,这种模型能用么
求助各位懂GARCH(1:1)的老哥们
栏目导航
悬赏大厅
经管文库(原现金交易版)
灌水吧
爱问频道
经管高考
麦田创投
热门文章
CDA 认证考试大纲 2025 重磅更新:一二级考 ...
CDA数据分析师实战:因子分析的业务应用与落 ...
Gemini准确率从21%飙到97%!谷歌只用了这一 ...
Introductory Econometrics: A Modern Appr ...
如盈财女:1.19黄金回踩顺势做多,原油高空 ...
CDA数据分析脱产就业班于2025年12月08日开班 ...
图书:历史照进现实
optimization algorithms: ai techniques f ...
兴业研究-库存周期分析
【资料共享】Python入门资料与产品经理学习 ...
推荐文章
【必看】【本版版规,欢迎发悬赏贴求助】
26年寒假天津站|Gemini论文写作&数据分析 ...
2026JG学术冬训营:从Stata初高到Python机器 ...
关于如何利用文献的若干建议
关于学术研究和论文发表的一些建议
关于科研中如何学习基础知识的一些建议 (一 ...
一个自编的经济学建模小案例 --写给授课本科 ...
AI智能体赋能教学改革: 全国AI教育教学应用 ...
2025中国AIoT产业全景图谱报告-406页
关于文献求助的一些建议
说点什么
分享
微信
QQ空间
QQ
微博
扫码加好友,拉您进群
各岗位、行业、专业交流群