全部版块 我的主页
论坛 计量经济学与统计论坛 五区 计量经济学与统计软件
2622 5
2014-08-02

        看到这种干货问题,就像专业乒乓球运动员在一群业余选手中突然发现了另一个专业运动员,知道自己不用总捡球的那种感觉。

        那我自然要以干货回答。数据说话

        此文分三部分:

                A.对现有的泛泛的结论作介绍

                B.对此文涉及的核心研究(共三个)作介绍

                C.结论和总结。

        注:分析过程可能较长,没耐心看下去的可以直接拉到 C 部分结论部分,不过不建议这么做,因为只看结论你会一头雾水……


        确实如题所述,大多数社会学家和心理学家已经开始意识到这个问题了,我们不能单纯地把结过婚的人和没结婚的人做比较,这种比较得不出因果性,因为极有可能结婚的人和不结婚的人本来就是两类不同的人。这类研究以前有很多,比如 2005 年 Pew Research Center 做的一个调查中发现已婚人士中有 43%的人声称自己幸福,未婚人士中 24%的人声称自己幸福。无论男女老少。(来源:Are We Happy Yet?)

2536-140I011104W40.jpg 2536-140I0111606134.jpg

        而且研究人员还发现已婚有孩子的和已婚没孩子的差不多一样幸福,非婚有孩子的和非婚没孩子的一样幸福。(注意:非婚和未婚不同)

        但是这种研究太笼统了,我们还应该考虑他们的经济状况,甚至把单身歧视算进去(是的美国也有单身歧视)。所以你不能说就是【婚姻】这么一个东西起了所有的作用。

        还有一个最大的问题,就是我上面用括号标出来强调的,那些非婚人士中还包括离异和丧偶的。你不能说那些没结婚的人只要结婚了就能幸福,毕竟离异和丧偶的也结了婚的。

        这种归类方法可以产生多戏剧性的效果呢?举个例子:

        Gove, W. R. 和 Shin, H. (1989)发表在《家庭问题期刊》的研究《离异和丧偶男女的心理健康实证分析》中(来源The Psychological Well-Being of Divorced and Widowed Men and Women),参与者被要求把自己的幸福感从 1-4 打分,4 是满分。结果是:

                平均已婚人士的打分是 3.3 分。

                平均非婚人士的打分是 3.0 分。

        但是如果把离异和丧偶的人群分别对待,我们可以得到:

                3.3 已婚

                3.2 未婚

                2.9 离异

                2.9 丧偶

        已婚和未婚是 3.3 和 3.2,这差别就小了。

        而如果你想知道单身人士是不是应该结婚,那你应该把从未结过婚的和结过婚的(包括离婚丧偶)进行比较,最后的结果就会是

                3.2 从未结婚

                3.2 结过婚

        所以说数据这种东西,和研究者心情有很大关系,想怎么演绎就怎么演绎。

        同样,Tobias Greitemeyer 于 2009 年发布在《欧洲社会心理学期刊》上的研究《单身的刻板印象:单身是我们想的那样吗》(来源Stereotypes of singles: are singles what we think?)里面给已婚和从未结过婚的人的心理状况作了比较,结果是:

        生活满意度(0-10 打分)

                7.10 已婚

                7.12 从未结过婚

        结果几乎完全一样。

        自尊水平高低(1-5 分)

                2.13 已婚

                2.13 从未结过婚

        嗯,完全一样,没有几乎。


        理想的调查研究是什么样的?

        真正符合科学精神的研究,让所有人都挑不出来毛病的研究,应该是这样的:你随机找来三组足够多的人,让其中一组一直不结婚,另外两组观察一段时间后让他们结婚,第三组结婚一段时间后然后他们离婚,然后观察研究三组人的反应。但是这么有霸气的实验历史上只有一个人做过相同性质的,他姓希,听说后来全世界都想要弄死他。(注意:是希,不是习……)

        第二理想的方式就是长期跟踪调查。找来一群人,定期记录他们的幸福感和满意程度,从结婚前就开始记录,一直持续到结婚后一段时间,这样你就能看出来结婚是不是让他们的生活变好了。

        2012 年在《人格和社会心理学期刊》上 Luhmann M, Hofmann W, Eid M, Lucas RE 四人发表了一篇研究《主观幸福随着生活大事件的变化:多项分析》(来源
http://www.ncbi.nlm.nih.gov/pubmed/22059843

        首先介绍一下概念,主观幸福包括两类:情感幸福和认知幸福情感幸福代表你感觉上有多开心,认知幸福代表你觉得自己应该多开心。也就是说情感幸福是感性上的,认知幸福是理性上的。

        比如初中时你暗恋多年的 ta 约你几天后一起去郊游,你刚被约的那一天肯定是精神恍惚,嘴角挂着莫名其妙的傻笑,你周围的同学一眼就看出来你不正常。这就是典型的情感幸福。


        再比如你从高考的最后一科的考场走出来的那一刻,你知道你自己是正常发挥,如果没问题你目标学校一定能进,你觉得自己终于可以放松了,终于可以玩了,折磨你 12 年的应试教育终于结束了,你得到了一个还不错的结果,你非常满意,这就是认知幸福。但是你那时可能真的很累只是想睡一觉。


        我们也可以说情感幸福就是幸福感,认知幸福就是满意度

        研究人员把心理学、社会学、医学、经济学等所有相关的一共 2159 个研究检索一遍,排除掉纯理论的、没有跟踪调查的、不相关的人生大事件(比如生病)的、幸福计量方法不统一的、跟踪调查的时间段不固定的、有专业人员介入的(心理咨询师会干涉调查对象的幸福感)剩下 363 篇靠谱研究,再从中排除掉重复的和统计数据过少的,最后剩下 188 篇 真正值得研究的论文。而这其中有 18 篇是关于婚姻的(其它可能和失业、丧亲、生小孩、退休等等有关),还有 8 篇是涉及离婚。

结婚

        在关于结婚的研究中,有三项指标被记录,一个是情感幸福(也就是幸福感),第二个是生活满意度(认知幸福的一个分类),第三个是对恋爱到婚姻的这段关系的满意度(认知幸福的另一个分类)。

        而最早的记录点是在结婚前 4 个月。

        结果终于来了——

        1.幸福感:结婚前和结婚后的幸福感完全没有变化。也就是说你每天感到开心和感到沮丧完全不因为你结婚而变化。在整个调查期间,这项都没变过。

        2.生活满意度:刚结婚时会有上升,之后一直下降。

        3.关系满意度:刚结婚时下降,之后和 2 一样的速度继续下降。

        1 的解释:因为人的情感幸福是有极强的调节能力的,这种能力强到结婚根本无法影响到。

        2 的解释:人的认知幸福也是有调节能力的,只是没有情感幸福调节得那么快。刚结婚会导致生活满意度上升,之后很快就降回原来水平。

        3:研究者并没有对这个做一个解释。我想大家都懂的……结婚了嘛,原形毕露。

翻译一下就是:

        1.结婚不会让你每天笑口常开。

        2.蜜月期会暂时提高你对生活的满意度,之后会降回婚前水平。

        3.让你满意的更多取决于你自己生活状态的改变,你的伴侣是谁没那么重要。当然你的伴侣也不是一点作用都没有,可能换个不好的伴侣情况会更糟。

离婚

        关于离婚的研究中,主观幸福(包括幸福感和满意度)在离婚的那一刻有一个轻微的下降,之后会连续上升。但这也并不能说明离婚就是比结婚好的一件事。毕竟离婚并不是瞬间发生的,离婚之前就已经开始犹豫挣扎好久了,而且法律上的事务又可以拖很久,这段时间才是最折磨人的时间,所以这段时间本来幸福度就会很低,而最后法律上承认你们离婚的那一刻,实际上是一种解脱,也会造成幸福度的上升。

        但是人们是不会放弃说服自己婚姻会让人幸福的。


        于是密西根州立大学的 Yap SC, Anusic I, Lucas RE(这哥们刚才的研究里就有他)三人又做了这样一项研究,名为《人格会造成对人生重大事件的反应和适应温和化吗?来自英国家庭小组的调查》(来源 http://www.ncbi.nlm.nih.gov/pubmed/23049147

        他们只针对生活满意度的研究,也就是刚才三种指标中的第二种。

        他们把结婚后一直没离婚的人群和一直没结婚的人群作对比,为了对比得更有说服力,他们找来的单身的都是和已婚人士差不多年纪,一样性别,相似的教育水平和收入。参与者被要求从 1-7 分给自己的满意度打分。

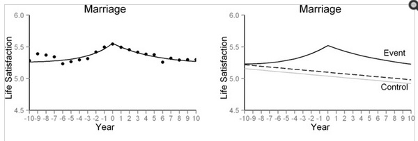
        然后他们发现了一个丧心病狂的结果:

2536-140I0111Q3136.jpg

        婚姻不会显著提高你的生活满意度,没错,最后你还是会降回原来水平。但是!如果你不结婚,你连原来水平都保持不了,一直下降!

        右图的 event 线就是根据左图连起来的线,是婚后人士的满意度水平线,而 control 虚线就是单身人士的满意度水平线。在结婚的那一刻,已婚人士平均比单身人士高 0.48 分,最后下降到只高 0.28 分。

        但是当学者们用这个来宣传“快结婚吧,不结婚你就不幸福!”的时候(记住千万不要让你父母看到这篇论文),打脸者们纷纷开始找茬:

        1.年龄,单身人群平均比对照的已婚人群要大 4 岁。由于随着时间推移满意度肯定会下降,所以拿年纪大的单身比较年纪小的已婚不公平。而且研究者自己也承认配对并不够严谨。

        2.很明显已婚和未婚的分差在缩小。满分 7 分,最后只有 0.28 分的差距说服力不是很强。

        3.相关性不代表因果性,一直保持结婚状态的人和一直保持单身状态的人很可能是两类完全不同的人(和教育水平和收入无关,和性格有关),所以你不能说结婚就能让所有人幸福。那些能一直保持结婚的人,很可能如果单身了也会一直保持高满意度。

        4.这个研究里找的是那些结了婚又一直保持结婚状态的人。而那些离了婚的人又是怎么样的呢?

        Richard E. Lucas(又是这哥们)另外发表了一篇论文《主观幸福的适应性以及设定点模型:幸福会随着人生大事件改变吗?》(来源Adaptation and the Set-Point Model of Subjective Well-Being)

        也是以生活满意度为评判指标,对参与者进行长年的跟踪观察。

2536-140I01121454A.jpg

        这是结婚、离婚、丧偶三个事件对满意度的影响。竖线是事件发生的时刻,左边是发生之前,右边是发生之后。可以看出:

                1.结婚没离的满意度在蜜月期后降回原来水平。

                2.丧偶的打击最大,经过漫长恢复仍然比原来水平偏低。

                3.丧偶和离婚的人群在事件发生之前就已经开始满意度下降了是因为那时他们是已婚的,按照总规律已婚人士就是在不断下降。

                4.离婚人群满意度最低,这大概也是离婚的原因。

        但是当我们把一直没离婚的人群和最终离婚的人群拿来作比较,就会发现

2536-140I0112235M6.jpg

                1.从结婚开始,最终离婚的人群的满意度就开始明显下降,降速远超最终没离婚的人群。

                2.结婚之前,最终离婚的人群的满意度就没有那些一直没离婚的人群的婚前时期高。也许离婚这个事件有它的必然性。


        经过了漫长的分析,我们终于可以得出如下几点结论:

        1.结婚并不会提高人们的幸福感。对满意度的提高也只是暂时的,是一种蜜月期效应。最后人们都会降回同一水平。

        2.如果你一直单身,没有婚姻这种“大喜”来冲喜气,似乎满意度也不会上升,同样会下降。

        3.如果你婚姻失败(最后离婚)你还不如不结。离婚的那天才是你解脱的那天。我想,离婚的那个人群里,应该有一些本来性格就不适合结婚的,还有一些选错了人的(瞎选人就敢结婚也是一种性格不适合。。。。)

        对了,美国现在的离婚率是千分之 3.6(一年里面每 1000 个人口中有 3.6 对离婚)(来源FastStats - Marriage and Divorce)

        中国的离婚率略低,2012 年是千分之 2.29,(来源离婚率_百度百科)但是每年都在高速增长。

        美国这个离婚率,直观一点地说,就是:67%的婚姻最后以离婚结束。(来源Steve Sweeney claims two-thirds of marriages end in divorce)

        那么中国有多少婚姻最后会以离婚告终呢?

总结

        1.对于一部分人来说,他们是一定要结婚的,他们结婚了至少能保持相同水平的满意度(前提是不离婚),不然会一直下降。

        2.对于那些选错了婚姻选错了人的人来说,结婚就是你的灾难。

        3.最后对无论是已婚还是单身的人:你要明白,幸福的能力是你自己给自己的,婚姻并不能拯救你什么。如果你自己都做不到幸福,就算结婚你也一样不幸福。如果你自己具备了幸福的能力,那么无论你单身还是结婚,你都可以过得很好。

       祝大家都能想清楚自己要的是什么。

来源:知乎


二维码

扫码加我 拉你入群

请注明:姓名-公司-职位

以便审核进群资格,未注明则拒绝

全部回复
2014-8-2 14:55:58
哈哈哈哈哈哈
二维码

扫码加我 拉你入群

请注明:姓名-公司-职位

以便审核进群资格,未注明则拒绝

2014-8-2 15:33:43
科学与幸福啊  哈哈
二维码

扫码加我 拉你入群

请注明:姓名-公司-职位

以便审核进群资格,未注明则拒绝

2014-8-2 17:58:35
性爱使人快乐,婚姻使人痛苦
二维码

扫码加我 拉你入群

请注明:姓名-公司-职位

以便审核进群资格,未注明则拒绝

2014-8-4 11:13:02
xuruilong100 发表于 2014-8-2 17:58
性爱使人快乐,婚姻使人痛苦
二维码

扫码加我 拉你入群

请注明:姓名-公司-职位

以便审核进群资格,未注明则拒绝

2015-1-7 10:03:16
谢谢分享
二维码

扫码加我 拉你入群

请注明:姓名-公司-职位

以便审核进群资格,未注明则拒绝

相关推荐
栏目导航
热门文章
推荐文章

说点什么

分享

扫码加好友,拉您进群
各岗位、行业、专业交流群