求助!
有一篇paper看不懂= =
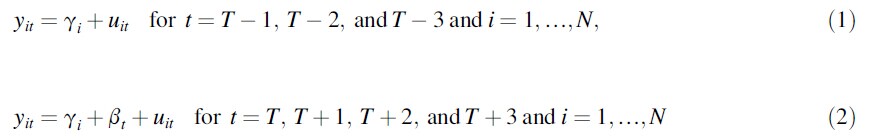
现在有比如100个公司的7年的ROAA这么一份panel data
现在文中给出了两个model

Yit是第i个公司在t年的ROAA 然后有四个time dummy variable
金融危机爆发假定为是T年,前三年分别为T-1 T-2 T-3, 爆发后三年为T+1 T+2 T+3,
四个time dummy 分别是T T+1 T+2 T+3
所以2式中的贝塔就是ROAA在t年和爆发前三年的difference?
但是说,我现在有这个的数据 该怎么跑回归呢?主要是不会这个time dummy该怎么跑?我的因变量是ROAA?自变量是什么?
求助!谢谢了
STATA或者EVIEw
补充下 文中的结果是如图
想知道是怎么跑出来的