用malmquist-DEA测算一个省市2005-2012服务业TFP遇到如下问题:
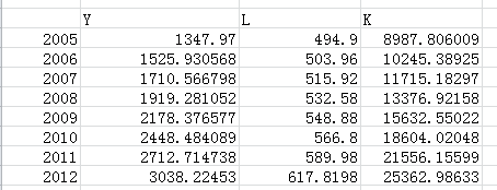
测算前,准备好了服务业增加值、从业人员、固定资产投资三个变量,对服务业增加值利用第三产业增加值指数将其转换为2005不变价,利用固定资产投资价格指数对当年投资额进行折算为2005不变价,然后用永续盘存法K_2005=I_2005/(0.03+g_(i,t))(基期投资额计算公式),K_(i,t)=(1-δ_(i,t) ) K_(i,t-1)+I_(i,t),这两个公式计算后得到固定资本存量。
整理好的数据如下

:
这三个变量带到DEAP2.1里进行计算。但是结果如下:

用相同方法测算该省市的生产性服务业TFP也是类似的结果,就是 除techch、tfpch外其余值都为1,这也太奇怪了。是我哪一步计算出问题了?!想请教下高人。