经管之家App
让优质教育人人可得
立即打开
全部版块
我的主页
›
论坛
›
提问 悬赏 求职 新闻 读书 功能一区
›
经管百科
›
爱问频道
论文中的公式推导,求各位老师指点
楼主
kmustwh
849
0
收藏
2015-04-16
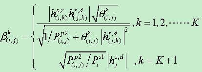
已知条件:
最后得到公式推导:
求各位老师教教我,真的不太懂这里
扫码加我 拉你入群
请注明:姓名-公司-职位
以便审核进群资格,未注明则拒绝
相关推荐
数学公式推导求助
如何翻译 数学公式推导上上常用的两句话
【300币】求公式推导
怎样才能写出全是数学公式推导的那种论文啊?我是指理论模型。大牛指导下经验
经济数学dRdP公式推导问题
公式推导
求价格指数效应与国内市场效应公式推导过程
金融公式推导
求助!论文中的公式推导!可100RMB线下交易!
求助各位数学功底好的大咖帮忙解决文献中公式推导的一个疑问,重谢!!
栏目导航
爱问频道
环境经济学
站务与外事
金融实务版
世界经济与国际贸易
真实世界经济学(含财经时事)
热门文章
CDA考试模拟题库:新增章节练习题(更新于1 ...
文本分析:从经管顶刊“加分项”到学术发表 ...
CDA 认证考试大纲 2025 重磅更新:一二级考 ...
CAIE人工智能工程师认证
哈耶克作品集 6本 含通往奴役之路、自由宪章 ...
博观研究院2025年中国跨境进口保健品市场分 ...
南大CSSCI(2025-2026)来源期刊目录及扩展版
PromptCoT-2.0-SFT-4.8M 监督微调提示 SFT ...
货币--是如何产生成长发展的和人类的四大工 ...
【详细整理,24重磅!】1990-2024上市公司市场 ...
推荐文章
AI狂潮席卷学术圈,不会编程也能打造专属智 ...
10月重磅来袭|《打造Coze/Dify专属学术智能 ...
最快1年拿证,学费不足5W!热门美国人工智能 ...
关于如何利用文献的若干建议
关于学术研究和论文发表的一些建议
关于科研中如何学习基础知识的一些建议 (一 ...
一个自编的经济学建模小案例 --写给授课本科 ...
AI智能体赋能教学改革: 全国AI教育教学应用 ...
2025中国AIoT产业全景图谱报告-406页
关于文献求助的一些建议
说点什么
分享
微信
QQ空间
QQ
微博
扫码加好友,拉您进群
各岗位、行业、专业交流群