风险中性测度是金融衍生产品定价中一个非常关键的概念。对于大家众所周知的Black Scholes定价公式,可以由两种方法得出,其中一个是通过期权和现货构造一个无风险的投资组合,通过构造出的组合和实际无风险标的的payoff一致性来推出期权价格所满足的一个偏微分方程,通过对偏微分方程的求解来得出期权价格。而另外一个就是跟风险中性测度非常相关的鞅方法,通过构造一个风险中性测度,再对期权未来payoff通过风险中性测度求期望来得到期权的价格。
那么风险中性测度到底是什么呢?从比较严谨的角度讲,就是通过风险中性测度进行折现的市场上的所有资产产品的价格都是鞅。而鞅是指一个随机过程,他的在未来任意时间的取值的期望,等于现在的值。也就是说,如果资产产品的价格是鞅,那么人们就无法预测价格的未来走势。用比较简明的话来说,风险中性测度,就是一个资产的价格,该资产在某个事件发生时会有一个单位的无风险利率的payoff,而在其他事件发生时的payoff是0 。我们称该资产为Arrow资产。
而即便这样说,也不是很能够理解,所以我们通过风险中性测度的期望来进行阐述。假设一个资产,有n种可能产生的事件,那么对于不同的事件该资产会有n种不同的payoff,其数值等于Y(n)个无风险利率的payoff,那么我们如何决定这个资产的价格呢?可以采用复制payoff的方法,我们对于每个不同的事件,都用Y(n)个Arrow资产(如果事件发生payoff为一个单位的无风险利率,其他事件发生payoff为0)进行复制,那么最终的结果就是:
SUM(数量X价格)=SUM(Y(n)*p(n))
其中p(n)是第n个用来复制的Arrow资产的价格,他满足测度的要求,所以可以称之为风险中性测度,或是风险中性概率。而上述等式正好是Y通过风险中性测度取期望所得的值,而这样理解时,p则是n发生的概率,也叫风险中性测度/概率。
风险中性测度和现实生活中实际的概率测度是等价的,即风险中性测度等于0的事件,在实际概率测度中也为0,而在风险中性测度中大于0的事件,在实际概率测度中也大于0 。在上述风险中性测度的推导中,我们使用Arrow资产进行定价,其未来的payoff是以无风险利率为单位进行衡量,其中无风险利率被称为numeraie,而我们可以通过对numeraie进行变化来使用其他资产当做payoff的衡量单位,但是该资产必须是一个可以交易的资产且他的价格过程必须是永远大于零的。
对于风险中性测度,有两个非常经典而有用的定理,第一个则是资产定价基础定理,包含两个部分。第一部分说,如果一个市场上存在一个风险中性测度,那么这个市场就是无套利的,也就是说,在使用Black Scholes公式进行定价的时候,我们已经假定了市场是无套利的,因此任何有偏离于BS公式所制定价格的资产,理论上都会存在一定的套利机会,但是BS事实上还有一个隐含波动率的不确定因素,这个部分较深,我们在以后会慢慢介绍。第二部分说如果一个不存在套利的市场上有且只有一个风险中性测度,那么这个市场就是完整的,即任何资产的价格都是可以被复制的。
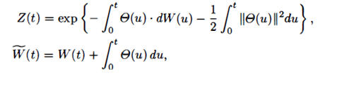
而第二个定理则是非常经典的Girsanov定理,对于:

其中Theta是一个多维的adapted随机过程,W是一个布朗运动,我们定义:

那么Z在该测度下的期望是1,且上述定义的为一个布朗运动。我们可以很容易观察到该测度即为风险中性测度的定义,和实际概率测度P等价,而新定义的布朗运动就是在风险中性测度定义下的布朗运动。通过上述定理我们发现,风险中性测度相对于实际概率测度,改变的仅仅是测度的期望,而测度的二阶矩波动率并没有改变。
风险中性测度在衍生品的定价中应用非常广泛,所以不光要对其有所耳闻,还要细致的对其进行理解,而仅仅背下来BS公式,是无法对其进行真正的理解的。
(来源:上善若水基金)