全部版块 我的主页
论坛 经济学论坛 三区 微观经济学 经济金融数学专区
1673 2
2015-05-27
悬赏 10 个论坛币 已解决

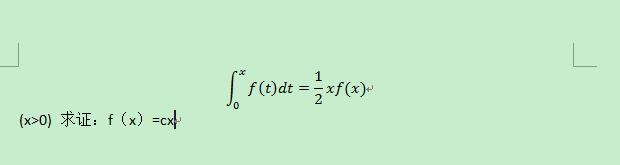
QQ截图20150527182759.png

原图尺寸 3.65 KB

QQ截图20150527182759.png

最佳答案

hylpy1 查看完整内容

由已知方程,对x求导,得:
二维码

扫码加我 拉你入群

请注明:姓名-公司-职位

以便审核进群资格,未注明则拒绝

全部回复
2015-5-27 18:32:09
由已知方程,对x求导,得:\[f\left ( x \right )=\frac{1}{2}f\left ( x \right )+\frac{1}{2}xf{}'\left ( x \right )\]\[\therefore f\left ( x \right )=xf{}'\left ( x \right )\]\[\therefore f\left ( x \right )-xf{}'\left ( x \right )=0\]\[\frac{f\left ( x \right )-xf{}'\left ( x \right )}{f\left ( x \right )} ={\left ( \frac{x}{f\left ( x \right )} \right )}'=0\]\[\therefore \frac{x}{f\left ( x \right )}=c,c为常数\] \[\therefore 有 f\left ( x \right )=cx\]
二维码

扫码加我 拉你入群

请注明:姓名-公司-职位

以便审核进群资格,未注明则拒绝

2015-5-28 11:00:07
真厉害。
二维码

扫码加我 拉你入群

请注明:姓名-公司-职位

以便审核进群资格,未注明则拒绝

栏目导航
热门文章
推荐文章

说点什么

分享

扫码加好友,拉您进群
各岗位、行业、专业交流群