这里有两个问题想请教大家,也希望大家共同参与讨论,一起学习。
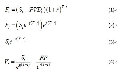
第一,期货定价模型中,离散情况下是(1),PVD是所有存续期间股息率在时刻t的贴现值;连续情况是(2),q是连续复利的股息率。我在准备CFA二级,复习到Forward部分的时候,常看到Equity Forward和Fixed income forward,其在连续情况下,Forward价值等于(4)式,其中FP代表远期价格。
我的问题是,为什么连续复利情况下,股票价格减去股利贴现值会是(3)的形式,可以详细说说直观上的理解,以及怎么用数学推导的思路吗?

ps:上述都是考虑股利的。
第二,一般情况下,期权价值越接近到期日,在其他因素不变的情况下,期权价值是下降的,但为什么深度虚值的Put(看跌期权)的Theta(期权价值关于时间的偏导数)会出现大于0的情况,也就是说为什么深度虚值的Put在离到期日越近的时候,期权价值反而越大?
这两个问题是我在准备CFA二级的时候遇到的,当时因为为了应试,没有过多时间思考,现在考完了,想搞明白这些问题。希望论坛里的童鞋可以多多帮忙,谢谢大家~