经管之家App
让优质教育人人可得
立即打开
全部版块
我的主页
›
论坛
›
计量经济学与统计论坛 五区
›
计量经济学与统计软件
›
Stata专版
自变量是因变量的滞后项的非线性方程
楼主
苃ォ情︳愙串
1386
1
收藏
2015-08-13
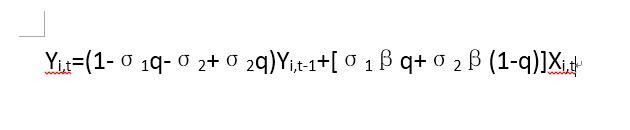
有形如上图的模型,自变量是因变量的滞后项,q表示一个虚拟变量,x是自变量,请问该如何进行回归分析呢?
扫码加我 拉你入群
请注明:姓名-公司-职位
以便审核进群资格,未注明则拒绝
全部回复
沙发
苃ォ情︳愙串
2015-8-13 18:15:02
我看到以上线性方程的模型,很多是采用的系统GMM的方法,但是我却搞不懂系统GMM能不能用于非线性的情况
扫码加我 拉你入群
请注明:姓名-公司-职位
以便审核进群资格,未注明则拒绝
相关推荐
求计算非线性方程的R包,谢谢
[求助]非线性方程的线性形式是什么样的?
寻找非线性方程求根解法
【求助】这个非线性方程怎么解
请教R中非线性方程求解问题
求助,如何回归非线性方程系数?
非线性方程的显著差异
sas 解非线性方程
请教:非线性方程的求解问题
变参数非线性方程求解
栏目导航
stata专版
经管文库
行业分析报告
文献求助专区
数据交流中心
计量统计软件
热门文章
CDA数据分析师实战:指标体系搭建的全流程方 ...
2026年市场展望报告-机遇与挑战并存
2026年全球投资展望报告:乘势而上(英)
“奇瑞品质”再获权威认证
gtap11使用说明(中英文对照)
Explainable Prognostics and Data-Driven ...
Fundamentals of Geometry-Oleg A. Belyaev
当AI遇见ML:高校教师如何借助AI与机器学习 ...
CDA数据分析脱产就业班于2025年12月08日开班 ...
CDA 认证考试大纲 2025 重磅更新:一二级考 ...
推荐文章
12月武汉站|Deepseek辅助论文写作与数据分 ...
2026JG学术冬训营:从Stata初高到Python机器 ...
关于如何利用文献的若干建议
关于学术研究和论文发表的一些建议
关于科研中如何学习基础知识的一些建议 (一 ...
一个自编的经济学建模小案例 --写给授课本科 ...
AI智能体赋能教学改革: 全国AI教育教学应用 ...
2025中国AIoT产业全景图谱报告-406页
关于文献求助的一些建议
几种免费下载文献的方法----我的文献应助经
说点什么
分享
微信
QQ空间
QQ
微博
扫码加好友,拉您进群
各岗位、行业、专业交流群