全部版块 我的主页
论坛 计量经济学与统计论坛 五区 计量经济学与统计软件
3544 4
2005-08-15

我的是未注册版本,只能处理四个资产和100个观测量,有破解版的请发联系我:pioneer_cy@163.com,谢谢!!!

二维码

扫码加我 拉你入群

请注明:姓名-公司-职位

以便审核进群资格,未注明则拒绝

全部回复
2005-8-15 17:10:00
把未注册版本发一下好吗?
二维码

扫码加我 拉你入群

请注明:姓名-公司-职位

以便审核进群资格,未注明则拒绝

2009-10-30 20:23:07
我有破解版,自己破的,200个观测。10个资产。
二维码

扫码加我 拉你入群

请注明:姓名-公司-职位

以便审核进群资格,未注明则拒绝

2011-3-12 15:01:34
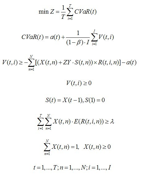
CVaR Expert 能不能解决多阶段CVaR问题(线性规划模型)我的模型在附件中 3# raindrop
附件列表
未命名.jpg

原图尺寸 35.56 KB

未命名.jpg

二维码

扫码加我 拉你入群

请注明:姓名-公司-职位

以便审核进群资格,未注明则拒绝

2011-3-12 15:02:47
如果能的话,该怎么弄啊
二维码

扫码加我 拉你入群

请注明:姓名-公司-职位

以便审核进群资格,未注明则拒绝

相关推荐
栏目导航
热门文章
推荐文章

说点什么

分享

扫码加好友,拉您进群
各岗位、行业、专业交流群