全部版块 我的主页
论坛 会计与财务管理论坛 七区 会计与财务管理
1021 4
2015-11-19
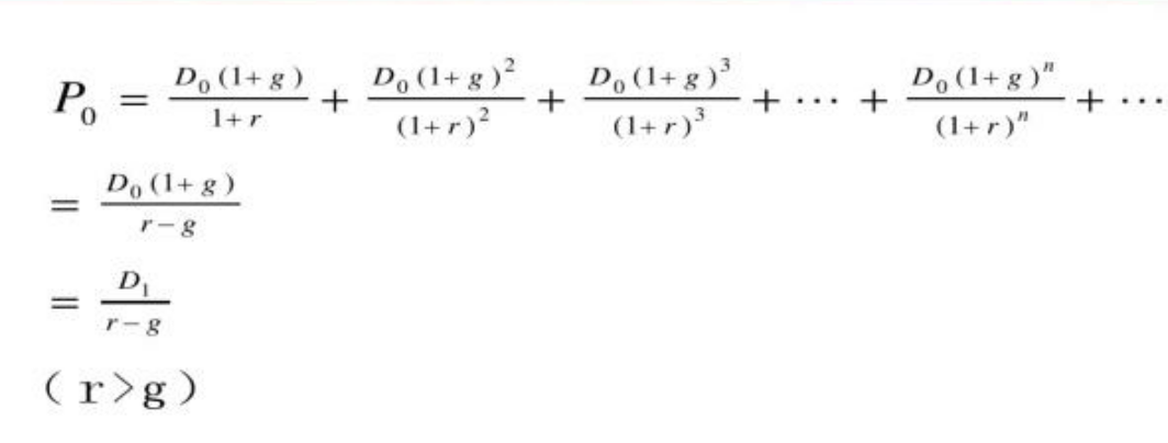
请帮我推导一下~一位数学大神告诉我需要各种条件,什么二项式~我不懂了… 2015-11-19 23.18.16.png
二维码

扫码加我 拉你入群

请注明:姓名-公司-职位

以便审核进群资格,未注明则拒绝

全部回复
2015-11-21 13:58:13
请复习一下等比数列求和的相关知识即可解决。
二维码

扫码加我 拉你入群

请注明:姓名-公司-职位

以便审核进群资格,未注明则拒绝

2015-11-21 18:46:35
铁锷未残 发表于 2015-11-21 13:58
请复习一下等比数列求和的相关知识即可解决。
就是等比数列求和这么简单吧~还需要神马二项式?之类的高能计算吗?我已经开始怀疑自己的智商…谢!
二维码

扫码加我 拉你入群

请注明:姓名-公司-职位

以便审核进群资格,未注明则拒绝

2015-11-21 22:12:23
momo_viola 发表于 2015-11-21 18:46
就是等比数列求和这么简单吧~还需要神马二项式?之类的高能计算吗?我已经开始怀疑自己的智商…谢!
不过当n趋向正无穷大时,需要用到极限的知识。
二维码

扫码加我 拉你入群

请注明:姓名-公司-职位

以便审核进群资格,未注明则拒绝

2015-11-22 14:24:46
铁锷未残 发表于 2015-11-21 22:12
不过当n趋向正无穷大时,需要用到极限的知识。
这个懂~多谢
二维码

扫码加我 拉你入群

请注明:姓名-公司-职位

以便审核进群资格,未注明则拒绝

相关推荐
栏目导航
热门文章
推荐文章

说点什么

分享

扫码加好友,拉您进群
各岗位、行业、专业交流群