经管之家App
让优质教育人人可得
立即打开
全部版块
我的主页
›
论坛
›
经济学论坛 三区
›
宏观经济学
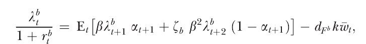
带有复杂期望的DSGE最优解如何进行对数线性化?例如图片式子
楼主
thjyxbs
2049
0
收藏
2015-12-21
[img]file:///C:\Users\a\AppData\Roaming\Tencent\Users\804336203\QQ\WinTemp\RichOle\AZO6WWY}[]6]CVJGM@J1}LN.png[/img][img=0,1]file:///C:\Users\a\AppData\Roaming\Tencent\Users\804336203\QQ\WinTemp\RichOle\AZO6WWY}[]6]CVJGM@J1}LN.png[/img]
附件列表
AZO6WWY}[]6]CVJGM@J1}LN.png
原图尺寸 10.01 KB
AZO6WWY}[]6]CVJGM@J1}LN.png
原图尺寸 10.01 KB
AZO6WWY}[]6]CVJGM@J1}LN.png
原图尺寸 10.01 KB
扫码加我 拉你入群
请注明:姓名-公司-职位
以便审核进群资格,未注明则拒绝
相关推荐
关于DSGE的入门级知识
请教一个有关DSGE的对数线性化问题!
DSGE资本存量处理问题
DSGE 对数线性化奇怪式子,请教
【独家发布】DSGE建模与编程入门(6):线性化技术
请教各位大神关于对数线性化的问题!
稳态值为0,该如何进行对数线性化
DSGE对数线性化问题跪求指点
DSGE 对数线性化问题
DSGE的对数线性化问题
栏目导航
宏观经济学
金融实务版
金融学(理论版)
经管类求职与招聘
休闲灌水
企业文化
热门文章
表格结构数据的核心特征及具象实例解析
下载到假资源如何退单
高教现代数学基础23 矩阵计算六讲 徐树方,钱 ...
安徽全省一盘棋发力汽车产业
【24顶刊热点!】2000-2024上市公司股价崩盘 ...
现代数学基础21 控制论中的矩阵计算 徐树方
求Journal of Computational and Graphical ...
【24重磅,详细,顶刊热点!】2000-2024上市公 ...
查找文献Digital mapping of soil organic ...
《技术的本质》epub版本
推荐文章
2026JG学术冬训营:从Stata初高到Python机器 ...
【必看】【本版版规,欢迎发悬赏贴求助】
26年寒假天津站|Gemini论文写作&数据分析 ...
关于如何利用文献的若干建议
关于学术研究和论文发表的一些建议
关于科研中如何学习基础知识的一些建议 (一 ...
一个自编的经济学建模小案例 --写给授课本科 ...
AI智能体赋能教学改革: 全国AI教育教学应用 ...
2025中国AIoT产业全景图谱报告-406页
关于文献求助的一些建议
说点什么
分享
微信
QQ空间
QQ
微博
扫码加好友,拉您进群
各岗位、行业、专业交流群