OPM3模型的基本构成要素_OPM3模型的运用步骤及用途
OPM3模型的基本构成要素
PMI对OPM3的定义是:评估组织通过管理单个项目和项目组合来实施自己战略目标的能力的方法,还是帮助组织提高市场竞争力的方法。OPM3的目标是“帮助组织通过开发其能力,成功地,可靠地,按计划地选择并交付项目而实现其战略”。OPM3为使用者提供了丰富的知识和自我评估的标准,用以确定组织的当前的、状态,并制定相应的改进计划。
OPM3模型的基本构成有以下要素:
“最佳实践”(Best Practices):组织项目管理的一套“最佳实践”是指经实践证明和得到广泛认同的比较成熟的做法
能力组成(the constituent Capabilities):能力是“最佳实践”的前提条件,或者说,能力集合成“最佳实践”,具备了某些能力组成就预示着对应的“最佳实践”可以实现。(
路径(pathways):识别能力整合成“最佳实践”的路径,包括一个“最佳实践”内部的和不同“最佳实践”之间的各种能力的相互关系。。
可见的结果(observable Outcomes):这些结果和组织的种种能力之间有确定的关系,可见的结果意味着组织存在或者达到了某种特定的能力。
主要绩效指标(Key Performance Indicators):能测定每个结果的一个或多个主要绩效指标。
模型的范畴(model context):包括组织项目管理的过程和改进的步骤和梯级

这些“最佳实践”、能力、结果和绩效指标,同一些叙述性的说明、指导手册、自我评估模板和组织项目管理过程的描述一起就构成了PMI的组织项目管理成熟度模型。
相互依赖性
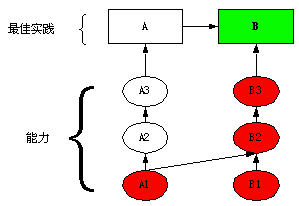
该模型另一个显著特点是各种能力之间存在的相互依赖性。要达到“最佳实践”取决于一定能力的实现,而这些能力往往依赖于其他一些能力。这种关系同样也存在于各种“最佳实践”之间以及和这些“最佳实践”相关的能力之间。这些关系如下图所示:

在上图中, 最佳实践B依赖于最佳实践A ,那么最佳实践B中至少有一种能力依赖于最佳实践A中的一种能力。最佳实践B本身依赖于能力B3,而B3依赖于B2,B2又依赖于能力A1和B1。
了解了最佳实践以及能力之间的各种依赖性,组织就可以更加全面地了解为了完全实现一个给定的最佳实践必须要完成什么,并把需要改进的项目管理能力图示出来。下图给出了这些依赖关系的一个例子。对这些依赖性的了解可以让OPM3的使用者找到一条从能力到能力的“路径”,沿着这条路径来完成特定的最佳实践。尽管对有些最佳实践而言,要获得需要的能力可能有不止一种合理的顺序;选取最佳的“路径”,可以节约宝贵的管理资源。为了确定这些复杂的关系,建立一个能够提供最多实践信息和最大价值的模型,OPM3开发小组付出了巨大的努力。到目前为止,OPM3已经确定了600多个最佳实践,3000多种能力和4000多个能力间的相互关系。
结果和主要绩效指标
把结果归入到模型中的作用在于,结果可以成为表明组织具备某种能力的客观证据。换句话来说,如果组织具有某种特定能力,那么一定有一些客观的证据证明它的存在。举个例子来说,如果有一种“定期维护项目进度总体计划”的能力,那么结果就应该是存在一个到目前为止最新的项目进度总体计划。主要的绩效指标(KPI)是一种标尺,这种标尺能够用来衡量结果,告诉我们结果存在的程度,不管是数量上还是质量上。KPI可以是直接测量的定量指标或者是专家的评估。在我们所举的例子中,绩效指标就是要确定项目进度总体计划是否涵盖了足够数量的组织项目或只是包括了一部分项目,同时还要确定它是否被经常、定期地维护和更新,以满足项目干系人的需要。

简而言之,组织不管是根据标准来进行自我评估,还是制定计划来完成组织项目管理的某种最佳实践,OPM3都为组织提供了了解现有能力和发现所需获得能力的工具,同时给出组织如何获得所需能力的推荐顺序。组织将可以通过检验结果或证据来证明他们已经获得了各种能力,还可以使用绩效指标来评估结果。一旦这些因素被确定,组织可以全面透彻地了解要完成最佳实践他们需要做什么。他们还可以获得所需的信息,来编制完成最佳实践所必须的改进计划。
OPM3模型的运用步骤
1. 研究标准
第一步是组织必须尽可能透彻地了解该模型所依托的种种概念。这包括研究比较标尺的内容,熟悉组织项目管理以及OPM3模型的组成和操作程序。
2. 评估组织现状
这一步是评估组织的组织项目管理成熟度。为此,组织必须把自己当前的成熟度状态的特征来和OPM3模型所描述的具有代表性的特征进行对比。通过对比,识别自 己当前状态,包括自己的强势和弱势,以及在组织项目管理成熟度中的位置处于哪个梯级。从而可以决定是否需要制订和实施改进计划。
3.决定改进重点
OPM3的自我评估帮助组织识别了自己的状态,了解了自己目前在组织项目管理方面已经具备和还缺乏哪些基本的特征。这样使用者就可以把重点放在与“最佳实践”相关 的、需要改进的那些特征上来,并制订适当的改进规划。一旦使用者知道哪些“最佳实践”是需要测定和致力于改进的,这种“最佳实践”以及对它们的描述,都可以在OPM3模型给出的目录中查找出来。
4.决定改进的路径
一旦使用者从目录中查看到希望完成的“最佳实践”所需要的一系列能力,他们也就找到了改进的路径,知道了如何才能达到需要的“最佳实践”,以便将当前的成熟度梯级提高一步。
5.评价当前能力
在这一步,组织将需要确定自己具备了哪些在步骤4 中提到的首先必备的能力。这包括仔细研究每种能力,并确定可以证明该能力的结果是否存在,或者是否可以观察到。该评价步骤将帮助组织决定要达到预期的成熟度需要培育哪些特定能力。
6. 编制改进计划
以上步骤的完成将构成组织改进计划的基础。组织可以根据那些未被观察到结果(这表明组织的某些能力还没有获得)的记录文档,就这些结果所反映组织所需能力的优先程度进行排序。这些信息,同实现资源最佳配置的“最佳实践”的选取结合起来,就可以编制出管理改进计划。
7.执行改进计划
这一步是组织真正实施变革的步骤。一旦计划被制定,组织必须一步一步地将其贯彻下去,也就是必须实施改进活动来获得必需的能力,并沿着组织项目管理成熟度发展的道路不断推进。
8.重复过程
完成了计划中的一些改进活动后,组织将重新评估当前的组织项目管理成熟度状态,即回到第2步;或开始进行其他的在先前的评估中确定下来但还没来得及实施的“最佳实践”,即回到第5步,重新评估当前能力,从而更新改进计划。
OPM3模型的用途
OPM3的目标是提供一种开发组织项目管理能力的基本方法,并使他们的项目与它们组织战略紧密地联系起来。OPM3 为使用者提供了丰富的知识来了解组织项目管理,并给出了对照标准作为自我评估的工具,来确定组织当前状况,以及制定改进计划。OPM3可以有以下的用途:
1.通过内部的纵向比较、评价,找出组织改进的方向。
OPM3成熟度标尺为组织提供了在关键时机进行评价的方法,这种即时“抓拍”的结果可以和以前的评价做比较,来确定已实行的变革带来的效果,以便指导今后的改进。
2.通过外部的横向比较,提升组织在市场中的竞争力。
3.商家通过评价、改进和宣传,提升企业形象。
4.雇主要求商家按照OPM3模型的标尺达到某级成熟度,以便选择更有能力的投标人,并作为一种项目控制的手段。