经管之家App
让优质教育人人可得
立即打开
全部版块
我的主页
›
论坛
›
计量经济学与统计论坛 五区
›
计量经济学与统计软件
DCCgarch模型疑问?
楼主
安静聆听
1626
0
收藏
2016-03-27
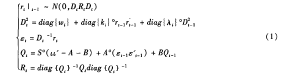
DCCgarch模型里面H(t)=D(t)R(t)D(t)
R(t)=diag(Q(t))^-1*Q(t)*diag(Q(t))^-1,所以疑问的是H(t)和Q(t)是什么关系????H(t)是条件协方差矩阵,Q(t)呢,我也觉得也是条件协方差矩阵,所以要预测H(t)却用等价的Q(t)预测R(t),之后再预测H(t)吗?好混乱啊
扫码加我 拉你入群
请注明:姓名-公司-职位
以便审核进群资格,未注明则拒绝
相关推荐
GARCH模型请教
ARCH、GARCH模型案例分析
请问GARCH模型的阶数p,q如何确定
R中ccgarch程序包的介绍:用于做多变量garch模型
求三元bekk-garch模型程序
如何编写不是一般形式的GARCH模型?
如何设置garch模型变量?
关于用CGARCH模型研究股票市场波动率的几个问题
拜求高手能赐教关于R语言中DCCGARCH模型的编码命令的过程
GARCH模型能建立吗?
栏目导航
计量经济学与统计软件
经管文库(原现金交易版)
爱问频道
会计与财务管理
学术道德监督
学术资源/课程/会议/讲座
热门文章
CDA数据分析脱产就业班在2026年3月7日开班了 ...
从指标罗列到体系赋能:CDA数据分析师视角下 ...
统计学基于python课件
AI Hermes agent安装操作步骤附原生态Herme ...
中国学人的老朋友-管理决策与人工智能先驱《 ...
高德低空产业白皮书
CDA数据科学研究院发布《2026 全球数智化人 ...
ChatGPT Images 2.0震撼发布:AI不再只画画 ...
CAIE LEVEL Ⅰ考试更新说明(2026年4月)
从“数字”到“数据”:CDA数据分析师视角下 ...
推荐文章
五一充电,学术突围!四大AI赋能王牌课程, ...
关于学术研究和论文发表的一些建议
几种免费下载文献的方法----我的文献应助经
【必看】【本版版规,欢迎发悬赏贴求助】
【新课】26年3月|Gemini辅助论文写作与数据 ...
关于如何利用文献的若干建议
关于科研中如何学习基础知识的一些建议 (一 ...
一个自编的经济学建模小案例 --写给授课本科 ...
AI智能体赋能教学改革: 全国AI教育教学应用 ...
2025中国AIoT产业全景图谱报告-406页
说点什么
分享
微信
QQ空间
QQ
微博
扫码加好友,拉您进群
各岗位、行业、专业交流群