经管之家App
让优质教育人人可得
立即打开
全部版块
我的主页
›
论坛
›
计量经济学与统计论坛 五区
›
计量经济学与统计软件
›
Stata专版
如何用Stata做Garch时在条件方差方程中加入外生变量
楼主
byhuhu1993
5148
6
收藏
2016-06-08
Stata菜鸟毕设求助各位大神!
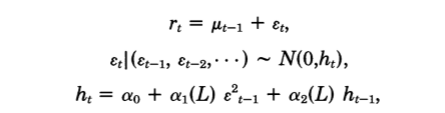
我的模型有两个,第一个是
我需要的仅仅只是a1和a2,但是均值方程中解释变量ut-1是rt的t-1期条件均值我就不会处理了,我只知道arch dep indep,arch(1) garch(1),但是dep和indep处填啥可以实现这个模型不太懂,求教各位大神解救!
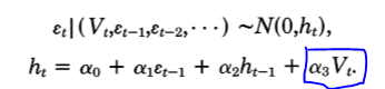
第二个模型是:
在条件方差方程中多加了一个外生变量 ,就是我圈住的那部分,想问咋样可以实现啊,我需要的仅仅是a1,a2,a3,完全没有任何思路,求救啊!
扫码加我 拉你入群
请注明:姓名-公司-职位
以便审核进群资格,未注明则拒绝
全部回复
沙发
yzl99
2018-4-19 14:17:42
请问楼主学会了嘛?我也要做garch模型加控制变量
扫码加我 拉你入群
请注明:姓名-公司-职位
以便审核进群资格,未注明则拒绝
藤椅
macc891207
2019-9-8 17:18:53
同问 不知道如何解决
扫码加我 拉你入群
请注明:姓名-公司-职位
以便审核进群资格,未注明则拒绝
板凳
macc891207
2019-9-9 18:20:31
应该有个选项 het(varlist)
扫码加我 拉你入群
请注明:姓名-公司-职位
以便审核进群资格,未注明则拒绝
报纸
聪明的小石头
2019-9-11 17:49:14
help het
扫码加我 拉你入群
请注明:姓名-公司-职位
以便审核进群资格,未注明则拒绝
地板
聪明的小石头
2019-9-11 17:49:36
option有个het
扫码加我 拉你入群
请注明:姓名-公司-职位
以便审核进群资格,未注明则拒绝
点击查看更多内容…
7楼
Allen的迷弟
2022-8-6 03:30:32
OPtion中虽然有het选项,但是方差方程的形式会变化
扫码加我 拉你入群
请注明:姓名-公司-职位
以便审核进群资格,未注明则拒绝
相关推荐
STATA在进行GARCH估计时能指定随机变量服从GED分布吗?
求助,急!!!
条件方差方程参数的显著性检验
ARCH 条件方差方程的系数大于1
高手指教:GJR-GARCH
EGARCH的条件方差方程中怎么加入其它变量?
Eviews用Garch(1,1)预测波动率,卡在条件方差方程,不知道该用什么数据迭代出波动率
stata做garch如何在方差等式中加入虚拟变量
求助 GARCH 条件方差方程如何加入外生变量
stata使用ols模型之后 使用garch的模型
栏目导航
Stata专版
学道会
经管在职研
文献求助专区
经管高考
微观经济学
热门文章
表格结构数据的核心特征及具象实例解析
毕马威 - 中国内地与香港IPO市场2025年回顾 ...
高教现代数学基础23 矩阵计算六讲 徐树方,钱 ...
安徽全省一盘棋发力汽车产业
【24顶刊热点!】2000-2024上市公司股价崩盘 ...
求Journal of Computational and Graphical ...
查找文献Digital mapping of soil organic ...
《技术的本质》epub版本
精准匹配,菁英相伴--经管之家单身俱乐部, ...
科研时间70%耗在“下载-复制-粘贴”?零代码 ...
推荐文章
2026JG学术冬训营:从Stata初高到Python机器 ...
【必看】【本版版规,欢迎发悬赏贴求助】
26年寒假天津站|Gemini论文写作&数据分析 ...
关于如何利用文献的若干建议
关于学术研究和论文发表的一些建议
关于科研中如何学习基础知识的一些建议 (一 ...
一个自编的经济学建模小案例 --写给授课本科 ...
AI智能体赋能教学改革: 全国AI教育教学应用 ...
2025中国AIoT产业全景图谱报告-406页
关于文献求助的一些建议
说点什么
分享
微信
QQ空间
QQ
微博
扫码加好友,拉您进群
各岗位、行业、专业交流群