全部版块 我的主页
论坛 计量经济学与统计论坛 五区 计量经济学与统计软件 Stata专版
3136 4
2017-02-20
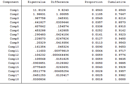
  Component |   Eigenvalue   Difference         Proportion   Cumulative
    -------------+------------------------------------------------------------
           Comp1 |      11.8126       9.8243             0.6563       0.6563
           Comp2 |      1.98831      1.00055             0.1105       0.7667
           Comp3 |      .987758      .345931             0.0549       0.8216
           Comp4 |      .641827     .0339646             0.0357       0.8573
           Comp5 |      .607862      .154574             0.0338       0.8910
           Comp6 |      .453288      .162805             0.0252       0.9162
           Comp7 |      .290483     .0624106             0.0161       0.9323
           Comp8 |      .228073     .0247826             0.0127       0.9450
           Comp9 |       .20329     .0419356             0.0113       0.9563
          Comp10 |      .161354      .045324             0.0090       0.9653
          Comp11 |       .11603    .00979819             0.0064       0.9717
          Comp12 |      .106232   .000664496             0.0059       0.9776
          Comp13 |      .105568     .0151825             0.0059       0.9835
          Comp14 |     .0903851     .0128382             0.0050       0.9885
          Comp15 |     .0775469     .0263691             0.0043       0.9928
          Comp16 |     .0511778    .00605254             0.0028       0.9957
          Comp17 |     .0451253     .0120417             0.0025       0.9982
          Comp18 |     .0330836            .             0.0018       1.0000


附件列表
filehelper_1487422303033_58.png

原图尺寸 16.69 KB

filehelper_1487422303033_58.png

二维码

扫码加我 拉你入群

请注明:姓名-公司-职位

以便审核进群资格,未注明则拒绝

全部回复
2017-2-20 12:55:47
952541481 发表于 2017-2-20 12:22
Component |   Eigenvalue   Difference         Proportion   Cumulative
    -------------+--------- ...
适不适合做主成分分析,要通过kmo检验才行。在pca结果后使用estat kmo命令看检验结果。然后表格看特征值大于1的主成分即可。祝好运~
二维码

扫码加我 拉你入群

请注明:姓名-公司-职位

以便审核进群资格,未注明则拒绝

2017-2-20 13:39:05
xddlovejiao1314 发表于 2017-2-20 12:55
适不适合做主成分分析,要通过kmo检验才行。在pca结果后使用estat kmo命令看检验结果。然后表格看特征值大 ...
  Variable |     kmo
    -------------+---------
              t1 |  0.9657
              t2 |  0.9379
              t3 |  0.9273
              t4 |  0.9005
              c1 |  0.8997
              c2 |  0.9285
              c3 |  0.9297
              c4 |  0.8034
              r1 |  0.9234
              r2 |  0.9223
              r3 |  0.9213
              r4 |  0.7607
              f1 |  0.9322
              f2 |  0.9202
              f3 |  0.9613
              f4 |  0.9473
              f5 |  0.8892
              f6 |  0.9050
    -------------+---------
         Overall |  0.9174
    -----------------------
这样呢?他们说除了特征值大于1,还要累计贡献率达到85%。我取前两个的话累计贡献率达不到要求了···
二维码

扫码加我 拉你入群

请注明:姓名-公司-职位

以便审核进群资格,未注明则拒绝

2017-2-20 13:43:13
952541481 发表于 2017-2-20 13:39
Variable |     kmo
    -------------+---------
              t1 |  0.9657
嗯,两个公因子即可。祝好运~
二维码

扫码加我 拉你入群

请注明:姓名-公司-职位

以便审核进群资格,未注明则拒绝

2022-3-2 16:19:09
主成分分析具体操作步骤
https://bbs.pinggu.org/thread-10758541-1-1.html
二维码

扫码加我 拉你入群

请注明:姓名-公司-职位

以便审核进群资格,未注明则拒绝

相关推荐
栏目导航
热门文章
推荐文章

说点什么

分享

扫码加好友,拉您进群
各岗位、行业、专业交流群