全部版块 我的主页
论坛 计量经济学与统计论坛 五区 计量经济学与统计软件 Stata专版
2118 2
2017-03-05
背景相关:1.本科大四生在写毕业论文,英语不好,帮助文件和手册已经看过,但其实看的不是很懂
2.老实说关于stata的应用是这段时间突击学习的,只了解了基本操作和关于我研究问题的相关内容

3.学渣,可能我一开始的构建的模型就有问题,所以如果有问题,能否帮我指出问题所在
4.我的论文结构是对潜在产出分别进行机械滤波,生产函数以及状态空间模型分别估算然后比较三种估算结果,所以,我必须要用状态空间估算一次,别无选择
5.其他软件比如Eviews等我还没接触过,stata是大三时有相关课程接触过,更熟悉一点,而且看论坛及网上相关经验,似乎用stata做更简单一点,如果换其他软件做我可能会有更多问题

综上,我似乎必须用stata做状态空间模型,而我对help sspace,以及[TS]手册相关内容已经进行了尝试,结果不尽人意,希望大家能给我帮助,指出我的错误。

具体问题:
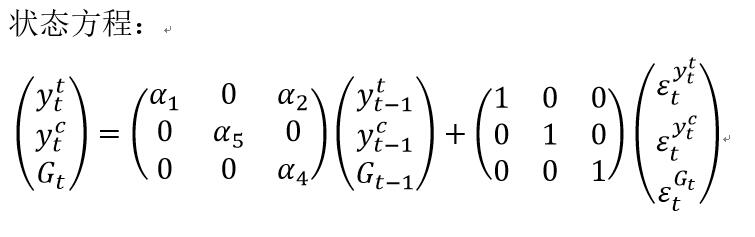
我一开始在阅读了相关文献之后,并听取了论坛里黄河泉老师的指导建议,目前列出的方程是这样子的
QQ截图20170304042335.jpg
然后我见很多文献里是给出矩阵形式,于是我尝试了一下
QQ截图20170304042351.jpg
但是发现稳态时潜在经济增长一项不知道该放在哪里
希望大家能不能告诉我是不是我的矩阵有问题?

我在没有解决这个问题的时候,只好先暂时忽略掉这一项
直接在stata里开始写命令
我写的命令如下
复制代码
但是运行之后出现了这个
states may not have time-series operators in the statevar
以我浅薄的知识看了r(198)的帮助文件,似乎意思是说我的语法错误
我希望大家能否看一下我的语法是哪里出现了错误


在对比手册里的例子之后,我觉得可能是L.D.u1以及e.D.u1这个有问题,于是给D.u1加了(),结果同上


我根本不知道是哪里出现了问题,于是我就直接去掉了第三个状态方程以及约束条件5
所以我的命令现在是这个样子
复制代码
这次出现的提示是这样的
QQ截图20170305222149.jpg
r(430)的提示大概是指我的模型不能被识别?
希望大家能告诉我这种情况下我该怎么办?


我不甘心又进行了尝试,也不知道自己对不对
总之我把代码又改了,如下
复制代码
值得高兴的是,这次stata终于开始计算了
不幸的是,它算起来根本停不下来
QQ截图20170305223117.jpg
QQ截图20170305223203.jpg
我的直觉告诉我区区26个数据应该不需要计算这么久,于是我把它强行break了
希望大家能告诉我为什么会计算个不停?

由于它计算个不停,于是我加了一个条件
复制代码
这样一来,「成功」地得出了一个「结果」
QQ截图20170305224038.jpg

但是note似乎在告诉我我这样做是自作聪明
Note: Model is not stationary.
Note: Tests of variances against zero are one sided, and the two-sided
          confidence intervals are truncated at zero.
Note: Convergence not achieved.
至少在我运行stata手册里给的例子时并没有这样的note

大家能否告诉到底可不可以这样做?


一共有五个问题,希望大家能给我一个思路,告诉我哪里有问题,应该去怎么样纠正

谢谢各位

同时附上我的数据
1990-2015Y3.dta
大小:(5.77 KB)

 马上下载


二维码

扫码加我 拉你入群

请注明:姓名-公司-职位

以便审核进群资格,未注明则拒绝

全部回复
2017-3-5 23:03:09
仔细检查很久,还是出现了错误

我写的第一个命令代码是这个样子的

复制代码
二维码

扫码加我 拉你入群

请注明:姓名-公司-职位

以便审核进群资格,未注明则拒绝

2017-3-6 13:56:11
johnnyzinc 发表于 2017-3-5 22:58
背景相关:1.本科大四生在写毕业论文,英语不好,帮助文件和手册已经看过,但其实看的不是很懂
2.老实说关 ...
关于我的问题是有什么说明不清楚的地方吗?还是我问的问题过于低级?恳请大家能告诉我我所存在的问题,真心想求教
二维码

扫码加我 拉你入群

请注明:姓名-公司-职位

以便审核进群资格,未注明则拒绝

相关推荐
栏目导航
热门文章
推荐文章

说点什么

分享

扫码加好友,拉您进群
各岗位、行业、专业交流群