全部版块 我的主页
论坛 计量经济学与统计论坛 五区 计量经济学与统计软件 Stata专版
2341 9
2017-04-13
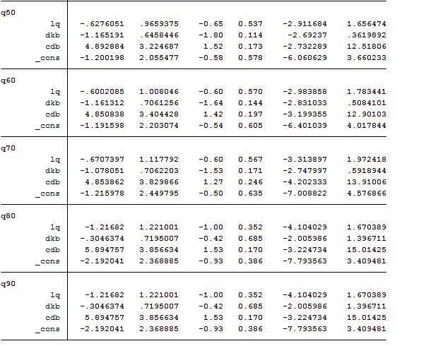
如图所示,做的分位数回归分析,为什么在q.1和q.2得到的数值结果一样啊?q.8 和q.9也是一样的。这是我的数据有问题吗?还是我没处理好?麻烦懂得大神帮忙看下
图1和2 是stata分析结果,图3是数据。
附件列表
QQ截图2333333.png

原图尺寸 10.35 KB

QQ截图2333333.png

QQ截图2222222222.png

原图尺寸 26.57 KB

QQ截图2222222222.png

QQ截图11111.png

原图尺寸 24.45 KB

QQ截图11111.png

二维码

扫码加我 拉你入群

请注明:姓名-公司-职位

以便审核进群资格,未注明则拒绝

全部回复
2017-4-13 11:09:40
应该是你的观察值数目实在太少了!
二维码

扫码加我 拉你入群

请注明:姓名-公司-职位

以便审核进群资格,未注明则拒绝

2017-4-13 11:12:49
本人新手,是不是stata哪里用错了?还是数据问题?请懂得帮忙看下。谢谢了
二维码

扫码加我 拉你入群

请注明:姓名-公司-职位

以便审核进群资格,未注明则拒绝

2017-4-13 11:14:57
黃河泉 发表于 2017-4-13 11:09
应该是你的观察值数目实在太少了!
是一个省份11年的数据,
二维码

扫码加我 拉你入群

请注明:姓名-公司-职位

以便审核进群资格,未注明则拒绝

2017-4-13 11:19:02
爱上一匹野马 发表于 2017-4-13 11:14
是一个省份11年的数据,
我假设你只是"练习"分位数回归,真正做研究时,一、两百个观察值是最起码之要求!
二维码

扫码加我 拉你入群

请注明:姓名-公司-职位

以便审核进群资格,未注明则拒绝

2017-5-15 13:31:35
想请问一下你的回归语句是什么呀
二维码

扫码加我 拉你入群

请注明:姓名-公司-职位

以便审核进群资格,未注明则拒绝

点击查看更多内容…
相关推荐
栏目导航
热门文章
推荐文章

说点什么

分享

扫码加好友,拉您进群
各岗位、行业、专业交流群