全部版块 我的主页
论坛 金融投资论坛 六区 金融学(理论版)
8679 11
2017-06-19
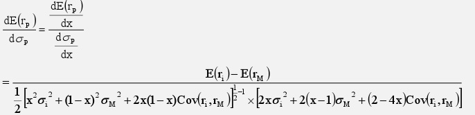
SML推导,有一个地方真的搞不懂。。。主要就有一步。。。望指教。。。



1.png 这一步。。。

2.png 等于 3.png 是怎么个来龙去脉?


4.png 等于 5.png 又是怎么个来龙去脉?


X是证券组合中待求资产i占得比例,全市场组合M的比例是1-x。。。







附件列表
1.png

原图尺寸 15.58 KB

1.png

二维码

扫码加我 拉你入群

请注明:姓名-公司-职位

以便审核进群资格,未注明则拒绝

全部回复
2017-6-19 17:35:50
d5229545 发表于 2017-6-19 17:29
SML推导,有一个地方真的搞不懂。。。主要就有一步。。。望指教。。。


小学生都知道你的推理是错的。2÷1=4÷2,可以推导出2=4,1=2吗?
二维码

扫码加我 拉你入群

请注明:姓名-公司-职位

以便审核进群资格,未注明则拒绝

2017-6-21 16:58:39
这楼没传好附件。。。申请作废,,,
二维码

扫码加我 拉你入群

请注明:姓名-公司-职位

以便审核进群资格,未注明则拒绝

2017-6-21 17:05:50
jason26258 发表于 2017-6-19 17:35
小学生都知道你的推理是错的。2÷1=4÷2,可以推导出2=4,1=2吗?
好吧。。。我大意了。。。
1.png 不等于 2.png3.png 不等于 4.png 也罢。。。
但是 6.png 等于 7.png 是怎么个道理啊???!!!
附件列表
5.png

原图尺寸 15.58 KB

5.png

二维码

扫码加我 拉你入群

请注明:姓名-公司-职位

以便审核进群资格,未注明则拒绝

2017-6-21 18:33:48
是CAPM的SML吗?如果是的话,我们再往下讨论。
二维码

扫码加我 拉你入群

请注明:姓名-公司-职位

以便审核进群资格,未注明则拒绝

2017-6-21 18:48:57
确实是CAPM的SML。那么,这个公式应该是错的。因为SML的斜率并不是组合的期望收益率对其标准差求一阶导数。SML的斜率是市场投资组合的风险溢价。由公式E(r)=rf+beta*E(M)可知,因变量是单个风险资产的期望收益率,自变量是beta,斜率就是市场组合的风险溢价。再说,单个风险资产的投资比例即是单个风险资产的市值在市场总市值中的比重。
二维码

扫码加我 拉你入群

请注明:姓名-公司-职位

以便审核进群资格,未注明则拒绝

点击查看更多内容…
相关推荐
栏目导航
热门文章
推荐文章

说点什么

分享

扫码加好友,拉您进群
各岗位、行业、专业交流群