全部版块 我的主页
论坛 经济学论坛 三区 微观经济学 经济金融数学专区
1122 4
2018-05-07
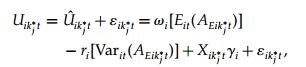
图片1.jpg 如该效用函数中的X是一个二维向量,对应的gamma也是二维向量。其他变量和数值都是一维的或是单个变量。求问:含有向量的函数如何计算函数值呢?感谢
二维码

扫码加我 拉你入群

请注明:姓名-公司-职位

以便审核进群资格,未注明则拒绝

全部回复
2018-5-8 15:42:08
楼主注意了,发贴请分类
二维码

扫码加我 拉你入群

请注明:姓名-公司-职位

以便审核进群资格,未注明则拒绝

2018-5-8 18:49:06
X与gamma取内积即可
二维码

扫码加我 拉你入群

请注明:姓名-公司-职位

以便审核进群资格,未注明则拒绝

2018-5-23 12:43:53
crossbone254 发表于 2018-5-8 18:49
X与gamma取内积即可
感谢您的解答
二维码

扫码加我 拉你入群

请注明:姓名-公司-职位

以便审核进群资格,未注明则拒绝

2018-5-23 12:44:50
hylpy1 发表于 2018-5-8 15:42
楼主注意了,发贴请分类
好滴
二维码

扫码加我 拉你入群

请注明:姓名-公司-职位

以便审核进群资格,未注明则拒绝

相关推荐
栏目导航
热门文章
推荐文章

说点什么

分享

扫码加好友,拉您进群
各岗位、行业、专业交流群