全部版块 我的主页
论坛 计量经济学与统计论坛 五区 计量经济学与统计软件 EViews专版
1953 0
2018-07-10
悬赏 20 个论坛币 未解决
如题。
TPZ8RLX8}27[C]]B}N9RI2F.png 6Y`OMXD2L@VZ~8F$[A)QAVJ.png
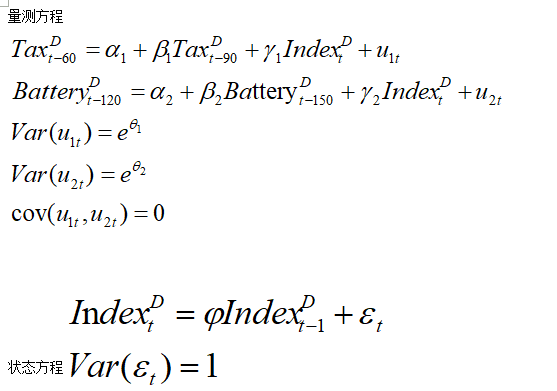
以上可观测的变量是V,Tax,Y和Battery(数据齐全),其中V和Y分别是Tax和Battery不同期的滞后项,命令之所以这样处理是为了保证量测变量与状态变量的同期,同时在database中我也录入了这四个变量的所有数据。不可观测的变量是Index,使用卡尔曼滤波算法的最终目的是要估出C(1)-C(9)参数的值以及不可观测变量Index的时间序列数据。

输入如图命令后系统提示出现了奇异矩阵(Near Singular Matrix),查阅之后明白是量测方程数大于状态方程数导致的,但并不知道该如何把奇异矩阵转化成非奇异矩阵。像这种情况该如何解决,跪求各路大神帮忙指点一二!!!
6Y`OMXD2L@VZ~8F$[A)QAVJ.png

原图尺寸 12.45 KB

6Y`OMXD2L@VZ~8F$[A)QAVJ.png

二维码

扫码加我 拉你入群

请注明:姓名-公司-职位

以便审核进群资格,未注明则拒绝

相关推荐
栏目导航
热门文章
推荐文章

说点什么

分享

扫码加好友,拉您进群
各岗位、行业、专业交流群