经管之家App
让优质教育人人可得
立即打开
全部版块
我的主页
›
论坛
›
站务区 十一区
›
新手入门区
关于bivariate probit model中的隐变量问题
楼主
MeyoungLC
2273
0
收藏
2018-07-11
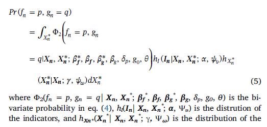
大家好,我是一个刚学习一些基础计量经济学的小白,最近在研读一篇论文,发现他在做bivariate probit model的时候,把隐变量(等式右边)也考虑进去了,如图1所示。我想知道隐变量在做这种模型分析的时候怎么考虑呢?他文中对隐变量做了积分,我就不是很理解,请教一下论坛的各位大神,他的做法的含义,同时有没有相对简单的处理方法?谢谢
图1
图2
扫码加我 拉你入群
请注明:姓名-公司-职位
以便审核进群资格,未注明则拒绝
相关推荐
On the Robustness of Unit Root Tests in the Presence of Double Unit Roots
论坛开张并诚招版主
庆祝论坛开张并诚招版主
有志于报考人大经济学院的同学朋友们看过来
庆祝论坛开张并诚招各分论坛版主
On the Robustness of Unit Root Tests in the Presence of Double Unit Roots
双单位根存在情况下单位根检验的稳健性研究
Local Power Functions of Tests for Double Unit Roots
栏目导航
新手入门区
数据交流中心
经管文库(原现金交易版)
经管高考
休闲灌水
EViews专版
热门文章
《AI+医疗治理白皮书2026》
【推荐】上市公司过度负债指标计算Stata代码 ...
告别熬夜头秃!3天论文特训,实现从“无从下 ...
一点写代码的心得:“你可别再重构了!”
CDA 认证考试大纲 2025 重磅更新:一二级考 ...
杨威老师的股海捕鱼
助力高阶认证备考!CDA 三级新上线第一套官 ...
CDA数据分析脱产就业班于2025年12月08日开班 ...
2026价值投资者白皮书
《财经论丛》投稿与录用过程
推荐文章
26年寒假天津站|Gemini论文写作&数据分析 ...
2026JG学术冬训营:从Stata初高到Python机器 ...
关于如何利用文献的若干建议
关于学术研究和论文发表的一些建议
关于科研中如何学习基础知识的一些建议 (一 ...
一个自编的经济学建模小案例 --写给授课本科 ...
AI智能体赋能教学改革: 全国AI教育教学应用 ...
2025中国AIoT产业全景图谱报告-406页
关于文献求助的一些建议
几种免费下载文献的方法----我的文献应助经
说点什么
分享
微信
QQ空间
QQ
微博
扫码加好友,拉您进群
各岗位、行业、专业交流群