全部版块 我的主页
论坛 计量经济学与统计论坛 五区 计量经济学与统计软件
3128 6
2006-01-19

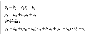
我想请问诸位:我遇到一个混合回归的问题,始终没有搞明白。现请教于诸位。问题是这样的:

对1998、1999两年的8个收入等级的消费支出与收入进行混合回归。但不知道如何将1998、1999年的数据合并。假设将1998年设为0,1999年设为1。那么, 合并模型(抱歉,我不会在网页中输入公式)中的Dt如何确定?合并后是否仍为8级,24个样本?谢谢!

[此贴子已经被作者于2006-1-19 13:30:43编辑过]

二维码

扫码加我 拉你入群

请注明:姓名-公司-职位

以便审核进群资格,未注明则拒绝

全部回复
2006-1-19 13:27:00
二维码

扫码加我 拉你入群

请注明:姓名-公司-职位

以便审核进群资格,未注明则拒绝

2006-1-19 13:33:00
抱歉,公式怎么就不能够粘贴呢?顺便请教公式是如何输出到网页上的?期待你的帮助!
二维码

扫码加我 拉你入群

请注明:姓名-公司-职位

以便审核进群资格,未注明则拒绝

2006-1-19 14:33:00

37886.gif

[此贴子已经被作者于2006-1-19 14:47:40编辑过]

二维码

扫码加我 拉你入群

请注明:姓名-公司-职位

以便审核进群资格,未注明则拒绝

2006-1-19 15:26:00
以时间的顺序建模吗,合并在一起,然后选择随机截距或随机斜率
二维码

扫码加我 拉你入群

请注明:姓名-公司-职位

以便审核进群资格,未注明则拒绝

2006-1-19 17:45:00

不是的,是混合回归来发现两年是否存在显著差异,如果没有差异,则可以合并两年数据进行回归。

二维码

扫码加我 拉你入群

请注明:姓名-公司-职位

以便审核进群资格,未注明则拒绝

点击查看更多内容…
相关推荐
栏目导航
热门文章
推荐文章

说点什么

分享

扫码加好友,拉您进群
各岗位、行业、专业交流群