全部版块 我的主页
论坛 提问 悬赏 求职 新闻 读书 功能一区 经管文库(原现金交易版)
2366 0
2019-06-14
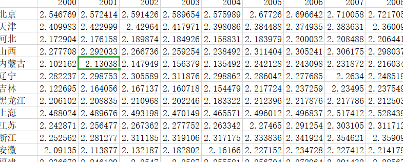
本帖数据为:2000-2016年17个年度,31省级产业升级度指标。
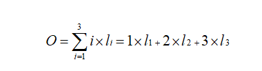
本贴数据基于徐德云(2008)的方法,该指标已被广泛使用,详可参考:徐德云,《产业结构升级形态决定、测度的一个理论解释及验证》,2008,《财政研究》第1期,46-49页。



产业结构升级度指标公式为:

1DL@$VJRIC50G]YX2.png

其中,O为产业结构升级度指标;li为第i产业的的增加值占地区生产总值的比重

O的的取值范围为1-3,指标越接近于1表示该地区产业结构层次越低,指标越接近于3表示该地区产业结构层次越高。


本帖原始数据均来自国家统计局网站或统计年鉴,因是比例计算,故不存在名义与实际之分。下图为附件预览图,附件包含原始数据和计算公式。 EK5YOX[KNI%})@I[%@RZM@Q.png


产业升级度2000-2016.xlsx
大小:(49.08 KB)

只需: RMB 9元  马上下载


二维码

扫码加我 拉你入群

请注明:姓名-公司-职位

以便审核进群资格,未注明则拒绝

相关推荐
栏目导航
热门文章
推荐文章

说点什么

分享

扫码加好友,拉您进群
各岗位、行业、专业交流群