经管之家App
让优质教育人人可得
立即打开
全部版块
我的主页
›
论坛
›
数据科学与人工智能
›
数据分析与数据科学
›
MATLAB等数学软件专版
关于参数估计(多元非线性方程)
楼主
哈啊哈11
1940
2
收藏
2019-08-15
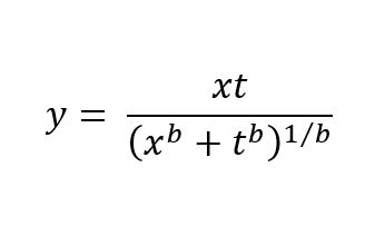
方程如下图所示,y是因变量,x 和 t 是两个自变量,b 是参数,现在知道30组(y,x,t)的值,如何估计参数 b ?
附件列表
捕获.JPG
原图尺寸 12.37 KB
扫码加我 拉你入群
请注明:姓名-公司-职位
以便审核进群资格,未注明则拒绝
全部回复
沙发
caizh1985
2019-8-23 10:40:58
Matlab APP那栏里有个曲线拟合,然后把函数输进去,参数应该就能出来了
扫码加我 拉你入群
请注明:姓名-公司-职位
以便审核进群资格,未注明则拒绝
藤椅
hzcmaster
2019-8-25 15:31:19
首先确认你的估计方法是什么,矩估计还是极大似然估计?根据方法给出对应的估计表达式;其次,由这个参数表达式来看,无论是矩估计还是极大似然估计,参数的估计值是没有显式解的,这一步需要借助迭代算法,matlab里面有对应的命令,找最优化的命令即可
扫码加我 拉你入群
请注明:姓名-公司-职位
以便审核进群资格,未注明则拒绝
相关推荐
求计算非线性方程的R包,谢谢
【求助】这个非线性方程怎么解
请教R中非线性方程求解问题
非线性方程的显著差异
sas 解非线性方程
请教:非线性方程的求解问题
初学,请教非线性方程求解问题
变参数非线性方程求解
循环求解一元非线性方程程序,求助~
求解指数等式 非线性方程
栏目导航
MATLAB等数学软件专版
文献求助专区
微观经济学
金融工程(数量金融)与金融衍生品
活动版
数据交流中心
热门文章
查找文献Digital mapping of soil organic ...
精准匹配,菁英相伴--经管之家单身俱乐部, ...
科研时间70%耗在“下载-复制-粘贴”?零代码 ...
我该如何记住你?智能体记忆系统的演化之路
CDA数据分析脱产就业班于2026年3月7日开班! ...
CDA 认证考试大纲 2025 重磅更新:一二级考 ...
表格结构数据的核心特征及具象实例解析
伍德里奇计量经济学导论第六版教材PDF
2026年Agent领域十大趋势判断
湖南统计年鉴2025(Excel版)
推荐文章
2026JG学术冬训营:从Stata初高到Python机器 ...
【必看】【本版版规,欢迎发悬赏贴求助】
26年寒假天津站|Gemini论文写作&数据分析 ...
关于如何利用文献的若干建议
关于学术研究和论文发表的一些建议
关于科研中如何学习基础知识的一些建议 (一 ...
一个自编的经济学建模小案例 --写给授课本科 ...
AI智能体赋能教学改革: 全国AI教育教学应用 ...
2025中国AIoT产业全景图谱报告-406页
关于文献求助的一些建议
说点什么
分享
微信
QQ空间
QQ
微博
扫码加好友,拉您进群
各岗位、行业、专业交流群