全部版块 我的主页
论坛 提问 悬赏 求职 新闻 读书 功能一区 经管百科 爱问频道
513 2
2019-10-20
1
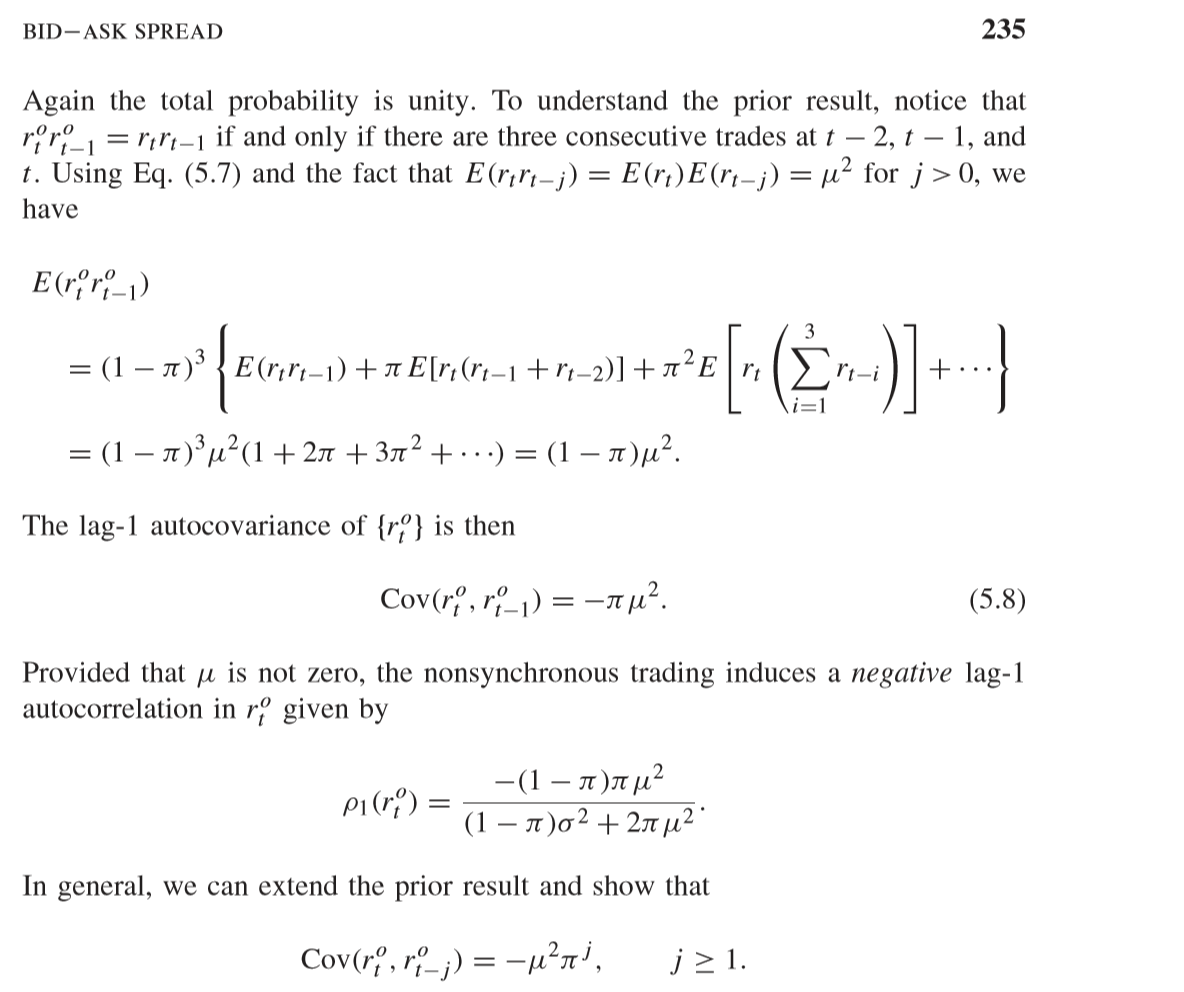
2 如图,t-j步是如何计算出来的呢?

二维码

扫码加我 拉你入群

请注明:姓名-公司-职位

以便审核进群资格,未注明则拒绝

全部回复
2019-10-23 15:02:18
章鱼肉团子 发表于 2019-10-20 15:28
如图,t-j步是如何计算出来的呢?
tsay的微观结构那章非同步交易的推导啊,你列的这页这之前几页有铺垫的,把j取2,3试一试就清楚了。
二维码

扫码加我 拉你入群

请注明:姓名-公司-职位

以便审核进群资格,未注明则拒绝

2019-10-27 14:48:44
chifuhuang 发表于 2019-10-23 15:02
tsay的微观结构那章非同步交易的推导啊,你列的这页这之前几页有铺垫的,把j取2,3试一试就清楚了。
感谢,已经试出来了
二维码

扫码加我 拉你入群

请注明:姓名-公司-职位

以便审核进群资格,未注明则拒绝

相关推荐
栏目导航
热门文章
推荐文章

说点什么

分享

扫码加好友,拉您进群
各岗位、行业、专业交流群