经管之家App
让优质教育人人可得
立即打开
全部版块
我的主页
›
论坛
›
数据科学与人工智能
›
数据分析与数据科学
›
SPSS论坛
求大神!spss做二项logistic分析 自变量有20多个可以直接分析吗?还是要先进行单因素
楼主
Le!!
1141
0
收藏
2020-01-02
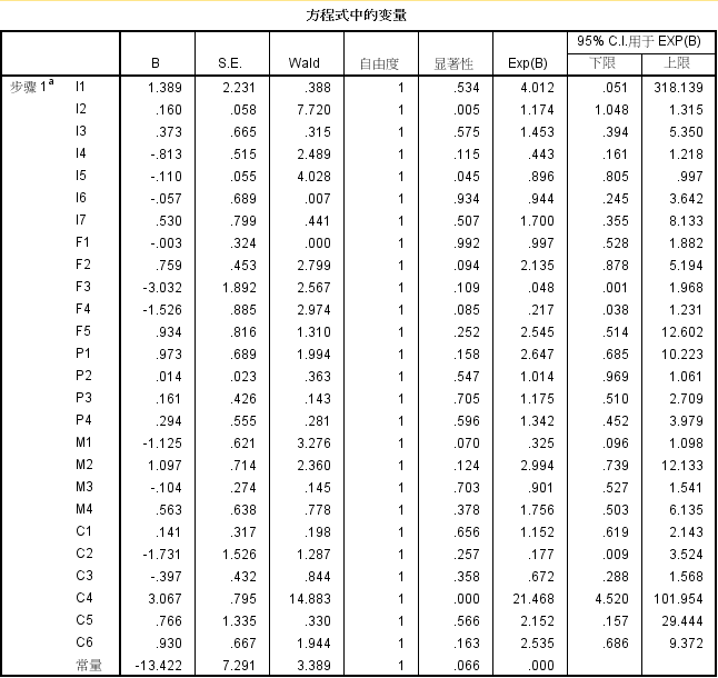
求大神!spss做二项logistic分析 自变量有20多个可以直接分析吗?还是要先进行单因素分析啊?如图,就这样直接进行二项logistic分析,这样的结果行吗?
扫码加我 拉你入群
请注明:姓名-公司-职位
以便审核进群资格,未注明则拒绝
相关推荐
On the Robustness of Unit Root Tests in the Presence of Double Unit Roots
论坛开张并诚招版主
庆祝论坛开张并诚招版主
有志于报考人大经济学院的同学朋友们看过来
庆祝论坛开张并诚招各分论坛版主
On the Robustness of Unit Root Tests in the Presence of Double Unit Roots
双单位根存在情况下单位根检验的稳健性研究
Local Power Functions of Tests for Double Unit Roots
周小川:调利率还需观察 息口盯住5%通胀率
栏目导航
SPSS论坛
经管文库(原现金交易版)
求助成功区
EViews专版
麦田创投
站务与外事
热门文章
助力高阶认证备考!CDA 三级新上线第一套官 ...
全球高校名单数据
《AI+医疗治理白皮书2026》
【推荐】上市公司过度负债指标计算Stata代码 ...
告别熬夜头秃!3天论文特训,实现从“无从下 ...
CDA数据分析师实战:方差分析与F检验的业务 ...
一点写代码的心得:“你可别再重构了!”
CDA 认证考试大纲 2025 重磅更新:一二级考 ...
杨威老师的股海捕鱼
CDA数据分析脱产就业班于2025年12月08日开班 ...
推荐文章
26年寒假天津站|Gemini论文写作&数据分析 ...
2026JG学术冬训营:从Stata初高到Python机器 ...
关于如何利用文献的若干建议
关于学术研究和论文发表的一些建议
关于科研中如何学习基础知识的一些建议 (一 ...
一个自编的经济学建模小案例 --写给授课本科 ...
AI智能体赋能教学改革: 全国AI教育教学应用 ...
2025中国AIoT产业全景图谱报告-406页
关于文献求助的一些建议
几种免费下载文献的方法----我的文献应助经
说点什么
分享
微信
QQ空间
QQ
微博
扫码加好友,拉您进群
各岗位、行业、专业交流群