经管之家App
让优质教育人人可得
立即打开
全部版块
我的主页
›
论坛
›
经济学论坛 三区
›
微观经济学
请教确定性等价原理
楼主
xinliang99
13389
2
收藏
2010-09-10
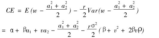
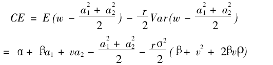
看一篇论文涉及确定性等价原理,实在是没明白公式是怎么列出来的。请教大侠们,确定性等价原理具体是怎么回事~谢谢
附件列表
QQ截图未命名.png
原图尺寸 8.37 KB
扫码加我 拉你入群
请注明:姓名-公司-职位
以便审核进群资格,未注明则拒绝
全部回复
沙发
Georgeaoguanju
2011-3-13 00:34:59
1#
xinliang99
可以参考《经济学、组织与管理》261页的数学附录,上面有较为详细的证明。
你应该是在读一篇关于激励理论的文章吧?
扫码加我 拉你入群
请注明:姓名-公司-职位
以便审核进群资格,未注明则拒绝
藤椅
hugo7
2011-3-15 08:00:23
可以参考《经济学、组织与管理》261页的数学附录
扫码加我 拉你入群
请注明:姓名-公司-职位
以便审核进群资格,未注明则拒绝
相关推荐
请教固定汇率制度有什么样的利弊?
求教一类合同/契约的规范说法
一季度做好六方面工作 把握政策扶持的确定性
一季度做好六方面工作 把握政策扶持的确定性
洞察七大领域确定性机会
华泰证券医药行业2019年度投资策略:拥抱确定性,追求低估值20181129
代际更迭,5G元年,把握确定性投资机遇-201812
联讯证券复盘:把握长期确定性20181212
从壁垒出发寻找医美领域的确定性机遇_36页_3mb
大财炒股杠杆 “循环牛”行情仍将延续,聚焦三条确定性投资主线
栏目导航
微观经济学
数据交流中心
休闲灌水
博弈论
真实世界经济学(含财经时事)
CFA、CVA、FRM等金融考证论坛
热门文章
AI Core产业营销思考
CDA 认证考试大纲 2025 重磅更新:一二级考 ...
Computational Complexity A Modern Approa ...
An Introduction To Recursive Function Th ...
用论文示例+AI讲解计量方法:Stata实证研究 ...
CDA数据分析师:全流程拆解数据治理开展路径 ...
《数据要素发展报告(2025年)》---来源:中 ...
【多指标】2000-2024年上市公司企业债务融资 ...
CDA数据分析脱产就业班于2025年12月08日开班 ...
北京统计年鉴2025(excel)、北京统计年鉴2 ...
推荐文章
12月武汉站|Deepseek辅助论文写作与数据分 ...
2026JG学术冬训营:从Stata初高到Python机器 ...
关于如何利用文献的若干建议
关于学术研究和论文发表的一些建议
关于科研中如何学习基础知识的一些建议 (一 ...
一个自编的经济学建模小案例 --写给授课本科 ...
AI智能体赋能教学改革: 全国AI教育教学应用 ...
2025中国AIoT产业全景图谱报告-406页
关于文献求助的一些建议
几种免费下载文献的方法----我的文献应助经
说点什么
分享
微信
QQ空间
QQ
微博
扫码加好友,拉您进群
各岗位、行业、专业交流群