经管之家App
让优质教育人人可得
立即打开
全部版块
我的主页
›
论坛
›
提问 悬赏 求职 新闻 读书 功能一区
›
学道会
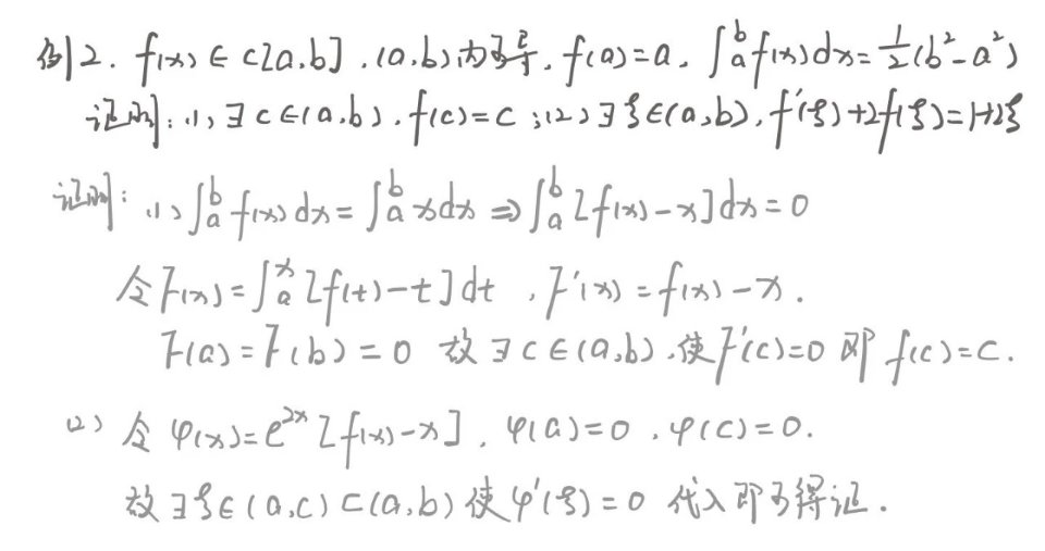
【学习笔记】微分中值题型4-5
楼主
chang06
432
1
收藏
2020-08-19
微分中值题型4-5
扫码加我 拉你入群
请注明:姓名-公司-职位
以便审核进群资格,未注明则拒绝
全部回复
沙发
512661101
2020-8-19 21:21:32
赞
扫码加我 拉你入群
请注明:姓名-公司-职位
以便审核进群资格,未注明则拒绝
相关推荐
【学习笔记】「充实计划-每日打卡」0917 奖励方式:回复跟帖,有机会获得论坛 ...
【学习笔记】苦逼的一天
【学习笔记】《易经》精华-24 24、天旋地生,其益无方。凡益之道,与时偕行。 ...
【学习笔记】打卡
【学习笔记】阅读越好 悦读越雅
2389_1602744758_2020-10-29 15:06:34_【学习笔记】
【学习笔记】周日阅读二小时,本周累计阅读二小时。
【学习笔记】12月
栏目导航
学道会
经管文库(原现金交易版)
经管在职研
数据交流中心
经管高考
灌水吧
热门文章
Differences-in-Differences for Natural E ...
“木语者”袁宣华:芜湖是我的根!”
整体微分几何初步 沈一兵
电力巡检无人机行业深度报告:智能电网时代 ...
南京2025年度房地产市场分析报告
王石更新动态 破除失联传言
CDA数据分析师:商业数据分析体系构建的核心 ...
对扩散语言模型开启了一次深度思考
CDA数据分析脱产就业班于2025年12月08日开班 ...
Stata 最新外部指令(含Meta-Analysis及DAS ...
推荐文章
【必看】【本版版规,欢迎发悬赏贴求助】
26年寒假天津站|Gemini论文写作&数据分析 ...
2026JG学术冬训营:从Stata初高到Python机器 ...
关于如何利用文献的若干建议
关于学术研究和论文发表的一些建议
关于科研中如何学习基础知识的一些建议 (一 ...
一个自编的经济学建模小案例 --写给授课本科 ...
AI智能体赋能教学改革: 全国AI教育教学应用 ...
2025中国AIoT产业全景图谱报告-406页
关于文献求助的一些建议
说点什么
分享
微信
QQ空间
QQ
微博
扫码加好友,拉您进群
各岗位、行业、专业交流群