经管之家App
让优质教育人人可得
立即打开
全部版块
我的主页
›
论坛
›
计量经济学与统计论坛 五区
›
计量经济学与统计软件
›
Stata专版
双重调节能否用分组检验
楼主
西瓜hhhh
1113
0
收藏
2020-09-23
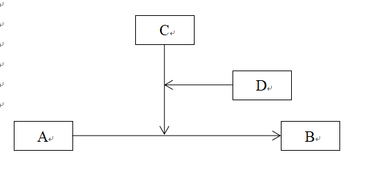
如图,调节效应,请问是否可以在以变量C为分组变量的分组检验中做A×D进行回归去验证,要是有相关文献,还请告知,感谢大佬。
附件列表
双重效应.png
原图尺寸 4.18 KB
扫码加我 拉你入群
请注明:姓名-公司-职位
以便审核进群资格,未注明则拒绝
相关推荐
调节效应与中介效应的比较和应用
有关调节效应的问题
关于调节效应的问题
请问如何画调节效应图
求助,调节效应的自变量、调节变量、交互项的系数分析
调节效应图怎么画
用spss做调节效应分析时(层级回归),第一步只加入自变量,是显著的;第二步加入了调
调节效应
调节效应
想做一个调节效应为倒u形的模型
栏目导航
stata专版
行业分析报告
经管文库
文献求助专区
数据交流中心
计量统计软件
热门文章
机器学习不再是经管社科研究选择题,而是下 ...
CDA 认证考试大纲 2025 重磅更新:一二级考 ...
杨威老师的股海捕鱼
克鲁格曼为何错得如此离谱:一个关于创新、 ...
2000-2024年中国逐年1000米分辨率平均值合成 ...
2026价值投资者白皮书
2025新酒饮行业发展报告
CDA数据分析师实战核心:假设检验的逻辑、方 ...
CDA数据分析师实战:方差分析与F检验的业务 ...
新宏观丨扩大内需的最大障碍是什么?
推荐文章
26年寒假天津站|Gemini论文写作&数据分析 ...
2026JG学术冬训营:从Stata初高到Python机器 ...
关于如何利用文献的若干建议
关于学术研究和论文发表的一些建议
关于科研中如何学习基础知识的一些建议 (一 ...
一个自编的经济学建模小案例 --写给授课本科 ...
AI智能体赋能教学改革: 全国AI教育教学应用 ...
2025中国AIoT产业全景图谱报告-406页
关于文献求助的一些建议
几种免费下载文献的方法----我的文献应助经
说点什么
分享
微信
QQ空间
QQ
微博
扫码加好友,拉您进群
各岗位、行业、专业交流群