一、应用背景
正态性检验用于分析数据是否呈现出正态性特质。
二、SPSSAU操作

三、分析与总结
将数据放入分析框中,SPSSAU系统计算统计量后自动生成分析结果,如下:

分析结果来源于SPSSAU
1、计算公式
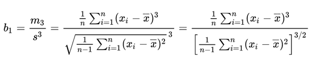
(1)偏度
偏度是描述分布偏离对称性程度的一个特征数。它的计算公式如下:

式中,其中
是样本的3阶中心距,_s_是样本的标准差,
为样本的均值。
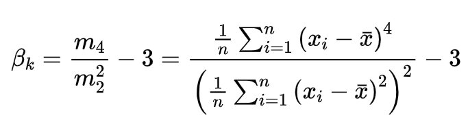
(2)峰度
峰度是描述分布尖峭程度和尾部粗细的一个特征数。它的计算公式如下;

式中,
为样本的均值。
(3)Kolmogorov-Smirnov检验
Kolmogorov-Smirnov检验的基本思想是:根据经验分布函数与期望分布函数的累计分布的差值,可以构造一个服从 Kolmogorov 分布的统计量,进而进行检验。
对于一个样本集的累计分布函数Fn(x)和一个假设的理论分布F(x),Kolmogorov–Smirnov 统计量D定义为:

式中,
是累积分布函数,
;其中
为指示函数,
;
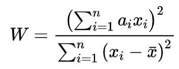
(4)Shapro-Wilk检验
其统计量(W)计算公式为:

2.总结
针对年降雨量进行正态性检验,从上表可以看出:研究数据的样本量全部小于等于50,因而使用S-W检验。具体来看,年降雨量全部均没有呈现显著性(p>0.05),意味着接受原假设(原假设:数据正态分布),年降雨量全部均具备正态性特质。
总结可知:年降雨量全部均具备正态性特质。
四、扩展
1.归纳
SPSSAU将常见的分析方法正态性特质要求归纳如下表

2.SPSSAU分析建议

五、操作
SPSSAU具体操作如下
(1)点击SPSSAU通用方法里面的‘正态性检验’按钮。如下图:

(2)拖拽数据后开始分析

六、参考文献
《概率论与数理统计(第二版)》