经管之家App
让优质教育人人可得
立即打开
全部版块
我的主页
›
论坛
›
数据科学与人工智能
›
数据分析与数据科学
›
R语言论坛
[多个变量EGARCH建模求助]方程中加入了其他变量怎么处理呢
楼主
Yuuuq
4457
0
收藏
2022-02-14
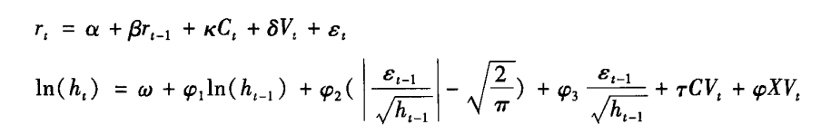
像下面这个论文里的EGARCH模型,两个方程都加入了其他变量,stata可以实现吗,命令是什么呢?如果不行有其他软件实现吗?求助各位大佬!!
扫码加我 拉你入群
请注明:姓名-公司-职位
以便审核进群资格,未注明则拒绝
相关推荐
如何在Egarch中为加入哑变量
ARMA EGARCH 怎么做?
求教一个关于EGARCH的问题
跪求DCC-EGARCH程序
求教一个EGARCH的命令
求助:EGARCH杠杆说理论
egarch中方差方程部分变量不显著如何处理
EGARCH编程,悬赏30
用R做Egarch时候碰到的问题
求助:为什么EGARCH(1,1)模型无法进行样本外预测
栏目导航
R语言论坛
经管文库(原现金交易版)
经管高考
学道会
求助成功区
行业分析报告
热门文章
CDA数据分析师:商业数据分析实践的核心执行 ...
Trading_Price_Action第一本书
高考古诗鉴赏题的十三种答题模式诗歌鉴赏专 ...
【独家首发】省级 无缺失 城镇居民家庭人均 ...
springer book-Teaching Econometrics
Stata 19.0 Win 安装文件
王石更新动态 破除失联传言
CDA数据分析师:商业数据分析体系构建的核心 ...
CDA数据分析脱产就业班于2025年12月08日开班 ...
Stata 最新外部指令(含Meta-Analysis及DAS ...
推荐文章
【必看】【本版版规,欢迎发悬赏贴求助】
26年寒假天津站|Gemini论文写作&数据分析 ...
2026JG学术冬训营:从Stata初高到Python机器 ...
关于如何利用文献的若干建议
关于学术研究和论文发表的一些建议
关于科研中如何学习基础知识的一些建议 (一 ...
一个自编的经济学建模小案例 --写给授课本科 ...
AI智能体赋能教学改革: 全国AI教育教学应用 ...
2025中国AIoT产业全景图谱报告-406页
关于文献求助的一些建议
说点什么
分享
微信
QQ空间
QQ
微博
扫码加好友,拉您进群
各岗位、行业、专业交流群