全部版块 我的主页
论坛 提问 悬赏 求职 新闻 读书 功能一区 经管文库(原现金交易版)
4015 5
2022-04-22

投资效率计算

数据说明:

1、参考文章:

韩静,陈志红,杨晓星.高管团队背景特征视角下的会计稳健性与投资效率关系研究[J].会计研究,2014

附件中包含文章的PDF

2、数据:全部上市公司,包含数据的原始excel和数据说明txt;数据为1990-2021但因为现金流量表数据从1998年开始公布,实际计算得到的结果1999-2020,根据研究需要选择年份区间,原始数据下载时间2022年4月。

3、stata版本:14及以上,低于14的版本打开会出现乱码,则可以用txt记事本打开再复制到你的版本中;

4、行业分类有几个,本次计算以2012年的证监会行业标准,制造业使用二级分类,其他行业使用大类,本文剔除金融行业,如果不希望这样处理可以把对应代码删除或不运行

5、交易状态为该企业是否ST,本次计算删除了ST企业,如果不希望这样处理可以把对应代码删除或不运行;

6、缩尾处理可以在计算结果出来后进行,do文件中包含缩尾命令供参考

7、每步计算都可以通过do文件查看。

*代码基本都有注释,变量都有标签,不会的命令请help或百度,没有的命令请用sscinstall命令名字 来安装,不会安装可以百度

计算过程:

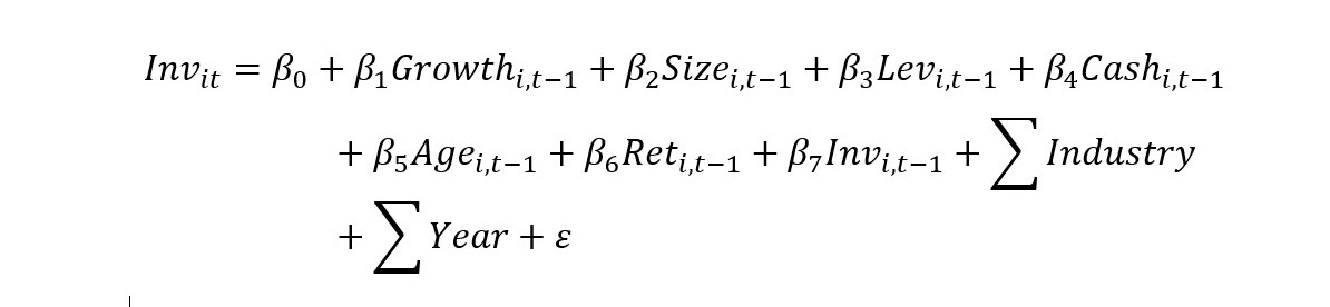
模型.jpg

模型( 1) 中对以上Richardson模型进行OLS得到的残差来衡量投资效率,残差大于0表示过度投资,且值越大,过度投资程度越大,残差小于0表示投资不足,且值越小,过度不足程度越大。通常最后构建三个变量:投资效率(残差绝对值),过度投资(残差绝对值,残差大于0的样本),投资不足(残差绝对值,残差小于0的样本
Inv it:t年资本投资支出,i公司 t 期的投资支出,具体定义为现金流量表中的构建固定资产、无形资产和其他长期资产所支付的现金 - 处置固定资产、无形资产和其他长期资产收回的现金净额  + 购买子公司及其他营业单位所支付的现金 - 处置子公司及其他营业单位所收到的现金,并用年初总资产进行标准化处理;  Growth i,t-1:i公司t-1年的成长性;即托宾Q值 Size i,t-1:i公司t-1年的规模;公司年末总资产的自然对数 Lev i,t-1:i公司t-1 年的负债率,公司年末总负债除以年末总资产 Cash i,t-1:i公司t-1年的现金比;公司货币资金和短期投资之和除以年末总资产 Age i,t-1:i公司t-1年的上市年龄,当前年度减去公司的上市年度加上1的自然对数 Ret i,t-1:i公司t-1年的股票收益率; 考虑现金红利再投资年度回报率减去综合A股市场年度回报率(流通市值加权) INV i,t-1 :t-1年资本投资支出,i公司 t-1 期的投资支出 控制了年度( year) 和行业( industry) 因素。
未缩尾的全样本数据对模型(1)进行回归如下所示:

全样本回归.jpg

计算结果描述性统计如下:

其中inv为所得的投资效率变量

overinv为过度投资

underinv为投资不足

全样本描述性统计.jpg

数据中也包含限定样本为2007-2020年的计算结果,供参考。


部分命令如下:

部分命令.jpg

附件内容如下:

附件内容.jpg

1999-2020投资效率模型数据
大小:(76 Bytes)

只需: RMB 40元  马上下载

二维码

扫码加我 拉你入群

请注明:姓名-公司-职位

以便审核进群资格,未注明则拒绝

全部回复
2024-5-18 11:43:32
此帖仅作者可见
二维码

扫码加我 拉你入群

请注明:姓名-公司-职位

以便审核进群资格,未注明则拒绝

2022-8-10 15:19:35
此帖仅作者可见
二维码

扫码加我 拉你入群

请注明:姓名-公司-职位

以便审核进群资格,未注明则拒绝

2022-8-7 14:49:25
此帖仅作者可见
二维码

扫码加我 拉你入群

请注明:姓名-公司-职位

以便审核进群资格,未注明则拒绝

2022-5-9 19:27:40
此帖仅作者可见
二维码

扫码加我 拉你入群

请注明:姓名-公司-职位

以便审核进群资格,未注明则拒绝

2022-5-9 16:21:13
此帖仅作者可见
二维码

扫码加我 拉你入群

请注明:姓名-公司-职位

以便审核进群资格,未注明则拒绝

相关推荐
栏目导航
热门文章
推荐文章

说点什么

分享

扫码加好友,拉您进群
各岗位、行业、专业交流群