全部版块 我的主页
论坛 提问 悬赏 求职 新闻 读书 功能一区 经管文库(原现金交易版)
962 0
2022-05-04

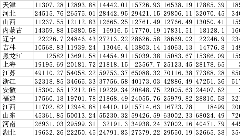
2011-2017年ZF规模指数

ZF规模,以职能和权力配置为基础,按一定组织原则建构的ZF各个具体组成部分的总和。是在一定现实条件下,由相应ZF职能(权力)、ZF机构(人员)、ZF行为成本共同决定的ZF活动范围。


2.png 1.png



附件列表

2011-2017年政府规模指数.xlsx

大小:22.93 KB

只需: RMB 39 元  马上下载

二维码

扫码加我 拉你入群

请注明:姓名-公司-职位

以便审核进群资格,未注明则拒绝

相关推荐
栏目导航
热门文章
推荐文章

说点什么

分享

扫码加好友,拉您进群
各岗位、行业、专业交流群