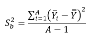
如题,我认为整群抽样群间方差是各群均值和总均值之间的离差平方和与群数量减一的相除(保证无偏性),因此群间方差公式公式应该如下:
其中,A为群的总数量,

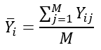
为第i个群的群均值,

为总体均值,群均值公式如下:
但是,根据抽样老师的课程以及网上权威著作,上述的公式与实际的群间方差公式之间差了M(即群规模,群内的单位数量),公式如下:
根据老师所讲,M是出于对群内单位数量的考虑,由于累加平方和公式里不存在j的下标,因此对于累加M来说该公式为一个常量,故可以直接乘以M,但是群均值的计算已经包含对M个单位的累加,并且群间方差公式里的群均值可以看做是各群的常量,难道不是应该只需要考虑群的数量累加吗,望有大佬解答我的疑惑,非常感谢!