y “是否就医” Outpatient(1是,0否)
treat "是否为贫困人口"
post "是否实施扶贫政策"
did=treat*did
X 协变量
i.year 时间固定效应
i.provcd 省份固定效应
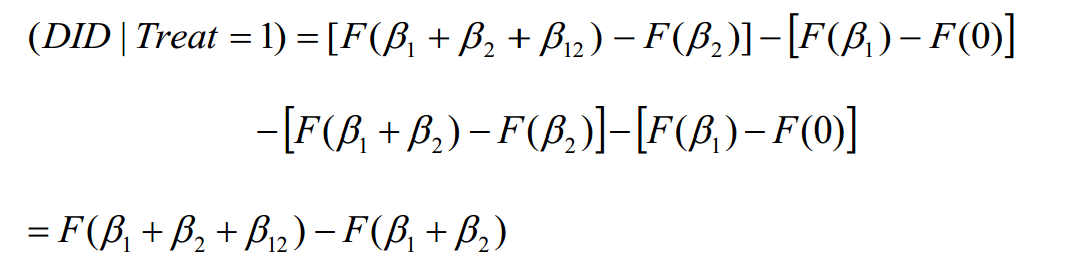
通过看文献,知道有三种命令可以实现处理效应的表示:inteff、margins和predictnl,inteff和predictnl的结果相差0.01,而margins命令我还不会写代码。
其中,inteff未纳入固定效应;margins代码也不大对,结果也不理想(可能是处理组样本量太少所致);phat的表达式来自Puhani (2012)的推导结果。

越做越糊涂,感觉哪个都不对,虽然论坛里有帖子说这个没什么好方法法解决。且初次发帖,运行结果还是不太好辨认。
但还是请各位大佬帮忙解答,批评指正,先行谢过,非常感激!