经管之家App
让优质教育人人可得
立即打开
全部版块
我的主页
›
论坛
›
提问 悬赏 求职 新闻 读书 功能一区
›
学道会
关于R语言岭回归中lambda的一些请教
楼主
ccccnm
695
1
收藏
2024-07-26
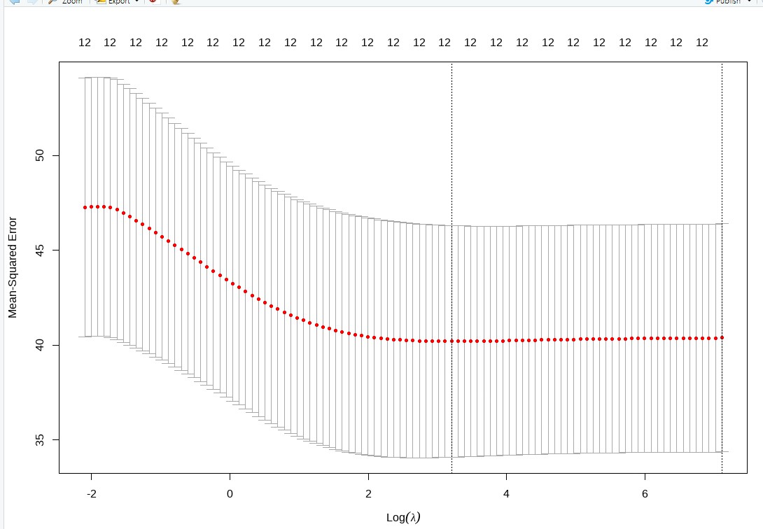
小白一枚,有一套数据只有51个样本,但要探索12个变量对因变量的影响,所以用了岭回归分析,在做lambda的选取的时候,CV交叉验证十分奇怪,第一张图是我得到了,第二张图是大部分人得到的,整个趋势居然是反过来的,好奇怪?
附件列表
其他的.jpg
原图尺寸 35.51 KB
扫码加我 拉你入群
请注明:姓名-公司-职位
以便审核进群资格,未注明则拒绝
全部回复
沙发
life150
2025-2-7 15:38:56
看起来别人做的结果比较正常(应该检查你自己的程序),lambda的大小限制了回归系数的大小。lambda越小,对系数的惩罚越小,lambda越大,对系数惩罚越大,信息不足,预测效果就会变差。这里看lambda较小时,不需要什么惩罚,预测效果也会不错。
扫码加我 拉你入群
请注明:姓名-公司-职位
以便审核进群资格,未注明则拒绝
相关推荐
求助,lambda系数的检验统计量是什么
] 求助,lambda系数的检验统计量是什么
Lambda架构与推荐在电商网站实践
HP 滤波法,lambda值应该怎么算?
随机数的生成,lambda实现数据取反
相对对数收敛上同调与相对刚性上同调II
类型化答案集规划与逆Lambda算法
在真实材料上的成核、冷凝和lambda转变
回溯测试风险中的Lambda值
风险Lambda值的性质:稳健性、可引出性
栏目导航
学道会
经管文库(原现金交易版)
人工智能
行业分析报告
休闲灌水
金融实务版
热门文章
CDA数据分析师:商业数据分析体系构建的核心 ...
人机共生· 智启未来 - 2026AI内容营销六大 ...
springer book-Teaching Econometrics
中国商务环境调查报告2026
【自用整理,24更新!】2000-2024新能源汽车上 ...
【热点指标,24更新!】2004-2024上市公司高管 ...
对扩散语言模型开启了一次深度思考
CDA 认证考试大纲 2025 重磅更新:一二级考 ...
CDA数据分析脱产就业班于2025年12月08日开班 ...
财新 周刊26年
推荐文章
【必看】【本版版规,欢迎发悬赏贴求助】
26年寒假天津站|Gemini论文写作&数据分析 ...
2026JG学术冬训营:从Stata初高到Python机器 ...
关于如何利用文献的若干建议
关于学术研究和论文发表的一些建议
关于科研中如何学习基础知识的一些建议 (一 ...
一个自编的经济学建模小案例 --写给授课本科 ...
AI智能体赋能教学改革: 全国AI教育教学应用 ...
2025中国AIoT产业全景图谱报告-406页
关于文献求助的一些建议
说点什么
分享
微信
QQ空间
QQ
微博
扫码加好友,拉您进群
各岗位、行业、专业交流群