经管之家App
让优质教育人人可得
立即打开
全部版块
我的主页
›
论坛
›
金融投资论坛 六区
›
金融学(理论版)
›
金融工程(数量金融)与金融衍生品
求助,一道股票期权定价的题,用风险中性定价的原理
楼主
helenxinyi
1758
1
收藏
2012-05-04
我在看约翰赫尔的《期权期货&其他衍生品》,做后面的习题时,发现11.4这道题没有具体的答案。
我本科读的法律,所以对衍生品这些实在是不懂,完全靠自学。现在对11.4这题百思不得其解,希望各位能得到大家的帮助
附件列表
未命名_meitu_0.jpg
原图尺寸 75.56 KB
扫码加我 拉你入群
请注明:姓名-公司-职位
以便审核进群资格,未注明则拒绝
全部回复
沙发
Chemist_MZ
2012-5-4 11:33:12
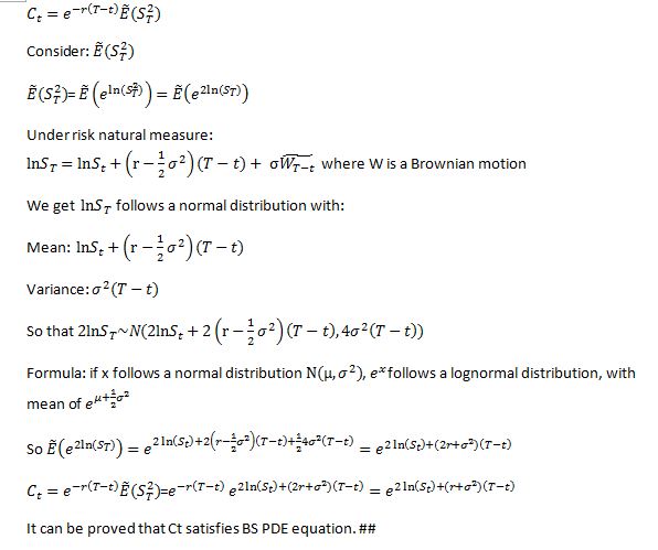
我简单写了一下,楼主可供参考
附件列表
Capture2.JPG
原图尺寸 7.99 KB
扫码加我 拉你入群
请注明:姓名-公司-职位
以便审核进群资格,未注明则拒绝
相关推荐
急!跪求:股票期权定价理论!
[求助]关于期权定价的程序!急!
[讨论]资产定价
求助:关于一个简单的股票期权定价的问题
关于带分红的股票期权定价问题
求论文:基于SV-GED模型估计波动率的管理层股票期权定价研究
谁知道商品期权定价和股票期权定价有什么区别
期权基础知识之股票期权的价格
用算术思维求解股票期权定价
股票期权定价与风险中性条件假设
栏目导航
金融工程(数量金融)与金融衍生品
经管文库(原现金交易版)
SPSS论坛
MATLAB等数学软件专版
行业分析报告
求助成功区
热门文章
参数估计:CDA数据分析师的核心推断工具,用 ...
通用指标与场景指标:CDA数据分析师的核心分 ...
表格结构数据特征与CDA数据分析师:精准适配 ...
CDA 认证考试大纲 2025 重磅更新:一二级考 ...
在概率与代码之间:Agent Skills 是 AI 的枷 ...
CDA数据分析脱产就业班于2026年3月7日开班! ...
失去的三十年:平成日本经济史(【日】野口 ...
GeoSaaS永久会员版
硅光芯片代工爆发式增长,重构全球半导体产 ...
新宏观丨豆包,谁是传统经济学的最大反对派
推荐文章
2026JG学术冬训营:从Stata初高到Python机器 ...
【必看】【本版版规,欢迎发悬赏贴求助】
【新课】26年3月|Gemini辅助论文写作与数据 ...
关于如何利用文献的若干建议
关于学术研究和论文发表的一些建议
关于科研中如何学习基础知识的一些建议 (一 ...
一个自编的经济学建模小案例 --写给授课本科 ...
AI智能体赋能教学改革: 全国AI教育教学应用 ...
2025中国AIoT产业全景图谱报告-406页
关于文献求助的一些建议
说点什么
分享
微信
QQ空间
QQ
微博
扫码加好友,拉您进群
各岗位、行业、专业交流群