全部版块 我的主页
论坛 提问 悬赏 求职 新闻 读书 功能一区 经管文库(原现金交易版)
249 0
2025-05-29

真实盈余管理


多年更新,质量保证,大量好评,用的放心


2018年:https://bbs.pinggu.org/thread-7916814-1-1.html

2020年:https://bbs.pinggu.org/thread-10615422-1-1.html

2021年:https://bbs.pinggu.org/thread-11047874-1-1.html

2022年:https://bbs.pinggu.org/thread-11506321-1-1.html

2023年:https://bbs.pinggu.org/thread-11801032-1-1.html

其他相关帖子推荐

应计盈余管理(操控性应计利润)信息不对称https://bbs.pinggu.org/thread-15246666-1-1.html2024
应计盈余管理DD模型和McNicols模型https://bbs.pinggu.org/thread-15250462-1-1.html2024
应计盈余管理非线性琼斯模型https://bbs.pinggu.org/thread-15250471-1-1.html2024
真实盈余管理【常用方法】https://bbs.pinggu.org/thread-15307943-1-1.html2024
真实盈余管理【拓展方法】https://bbs.pinggu.org/thread-11801032-1-1.html2023
归类变更盈余管理https://bbs.pinggu.org/thread-11799640-1-1.html2023


1、计算说明




      对于真实盈余管理,我们仿照Roychowdhury(2006)和Cohenetal.(2008),用异常经营活动现金流(R_CFO)、异常费用(R_DISX)和异常产品成本(R_PROD)三个分指标来计量。
      首先,分年度和行业回归估算出计算出正常的经营活动现金流、正常费用和正常产品成本,具体模型如下:


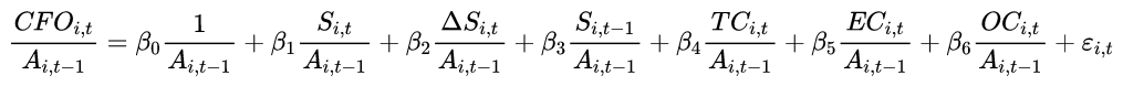
现金流量模型



234248nnwinddqazndvhan.png



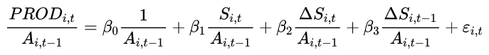
产品成本模型



2342471at066r2c6251vav.png



费用模型



2342472rywyzwu2rsrcrtn.png



      变量说明:

  • CFOi,t 表示第 t 期的经营活动现金净流量;
  • Ai,t-1 为第 t-1 期期末总资产;
  • Si,t 表示第 t 期销售收入;
  • △Si,t 表示第 t 期的销售收入相比第 t-1 期的销售收入变动额;
  • △Si,t-1 表示第 t-1 期的销售收入相比第 t-2 期的销售收入变动额;
  • TCi,t 表示第 t 期的各项税费开支;
  • ECi,t 为第 t 期支付给职工以及为职工支付的现金;
  • OCi,t 为第 t 期其他与经营活动有关的现金;
  • DISXi,t 表示第t 期的可操控性费用,为销售费用与管理费用的总和;
  • PRODi,t 为第t 期的生产成本,是当期营业成本及存货变动额的总和。


      然后,用公司的实际值减预期值,差额即为异常值,分别算出异常经营活动现金流、异常产品成本和异常费用。
     有关最后的盈余管理程度代码里面提供了两种计算方法:

  • 第一种:REM1= R_CFO+R_PROD+R_DISX,  AbsREM1为REM1的绝对值
  • 第二种:REM2= R_PROD-R_CFO-R_DISX, AbsREM2为REM2的绝对值

2、参考文献


  • 不同公司治理强度下的股权激励与真实盈余管理——兼论市场化进程的保护作用(侯晓红) 经济与管理
  • 审计行为能够抑制真实盈余管理吗(曹国华) 审计与经济研究


3、数据说明




  • 原始数据包含:公司文件、资产负债表、利润表、现金流量表(直接法)(1990-2024年数据)。
  • 结果数据格式为:包含dta和excel格式。
  • 代码格式:do文件(Stata14/15/16/17),需要安装包可以到该贴下载: 下载地址
  • 本文选取2000-2024年A股上市公司为研究对象。(因为是分年度分行业回归,所以需要哪几年的结果可以直接使用
  • 字段包含以2012年的证监会行业标准,制造业使用二级分类,其他行业使用大类,本文剔除金融行业,如果不需要可以把对应代码删掉即可。
  • 字段包含是否ST、PT的虚拟变量(以当年是否ST、*ST或PT为判断标准),本文剔除ST、*ST或PT类股票,如果不需要可以把对应代码删掉即可。
  • 剔除缺失值、剔除已退市的上市公司
  • 剔除年度行业内公司不足10个的样本,以便有效估计模型
  • 对连续变量进行缩尾处理

4、结果截图


QQ截图20250529113145.jpg

各年数据量
QQ截图20250529113221.jpg

描述性统计
QQ截图20250529113055.jpg

5、附件下载

QQ截图20250529113229.jpg



如果只要计算结果的话







经管之家:momingiqmiao7
欢迎关注,分享更多实用的数据,独家发布,严禁转载获利,转载必究,有任何问题在可以帖子下方回复,及时回复

批量购买可享优惠


关注帖子索引2023年】【帖子索引2022年】【帖子索引2021年】【使用常见问题点击查看更多帖子】【Stata软件下载】【Stata免费学习资料





二维码

扫码加我 拉你入群

请注明:姓名-公司-职位

以便审核进群资格,未注明则拒绝

相关推荐
栏目导航
热门文章
推荐文章

说点什么

分享

扫码加好友,拉您进群
各岗位、行业、专业交流群