全部版块 我的主页
论坛 提问 悬赏 求职 新闻 读书 功能一区 经管文库(原现金交易版)
212 0
2026-02-09

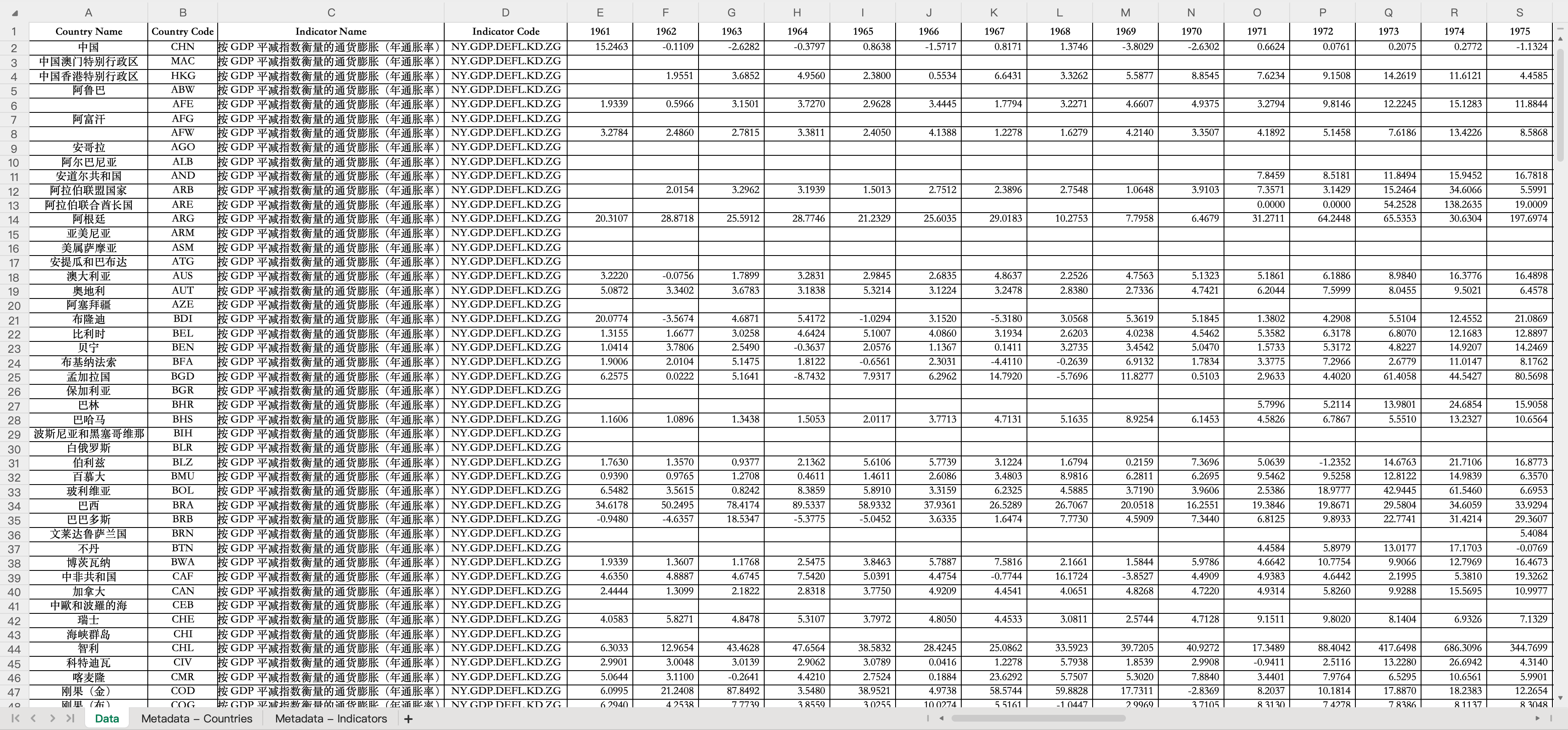
中国通货膨胀率(1961-2024年)

通货膨胀率是指一国在一定时期内,通常为一年,商品和服务价格水平的平均增长率。它反映了货币贬值的程度,也意味着消费者购买力的下降。本次分享的是1961-2024年中国通货膨胀率数据

中国的通货膨胀率通常采用多个指标进行衡量,其中按GDP平减指数衡量的通货膨胀(年通胀率)是反映整个经济体(所有最终产品和劳务)综合价格水平变动的关键宏观指标,显示的是整个经济体的价格变动率

GDP隐含价格平减指数是按照现价本币计算的GDP与按照不变价本币计算的GDP之比

中国通货膨胀率(1961-2024年)

一、数据介绍

数据名称:中国通货膨胀率

数据范围:世界各国

时间范围:1961-2024

样本数量:200多个国家

数据来源:世界银行

二、数据指标

国家或地区

通货膨胀率

三、参考文献

[1]杨连星,刘晓光,张杰.双边政治关系如何影响对外直接投资——基于二元边际和投资成败视角[J].中国工业经济,2016,(11):56-72.

[2]刘海云,毛海欧.制造业OFDI对出口增加值的影响[J].中国工业经济,2016,(07):91-108.

[3]马永强,阳丹,巩亚林.经济周期、政府扶持与企业创新[J].会计研究,2022,(05):49-64.

1758095231.png

附件列表

中国通货膨胀率(1961-2024年)

大小:76 Bytes

只需: RMB 19 元  马上下载

二维码

扫码加我 拉你入群

请注明:姓名-公司-职位

以便审核进群资格,未注明则拒绝

相关推荐
栏目导航
热门文章
推荐文章

说点什么

分享

扫码加好友,拉您进群
各岗位、行业、专业交流群