全部版块 我的主页
论坛 计量经济学与统计论坛 五区 计量经济学与统计软件
8894 14
2014-07-08
我曾经在某则报导中看见,有人建议将肥胖列为传染病。没错,就是那种打喷嚏不遮嘴巴,旁边同学隔天就会请病假的传染病。据说有胖朋友,你肥胖的机率也会增加。想想这也不是很难理解的事,整天有人在一旁吃炸鸡排配珍珠奶茶,你还能心平气和地啃菜叶子吗?

肥胖是本世纪的问题,是科技促成粮食产量大幅提高的副作用。1975年到2005年间,美国人每日摄取的热量增加了1000千卡,平均体重则增加9千克。但运动呢,很显然在谷歌眼镜尚未普及时,人们依然很难将屁股从电脑前移开。

肥胖的理由很简单,人体会依据吸收能量与消耗能量,来调整新陈代谢与身体组织。当吸收的能量太多,消耗的能量太少时,中间的差额就是你肚子上的那一圈儿。

坊间最常听到的数学减肥法,便是根据刚刚的7700千卡/千克为基准计算的。在一段时间内,通过增加运动量和少吃东西,来降低总热量摄取。假如每天散步1.5小时,以人的平均走速5.2 千米/小时来算,一周就可以减少3385千卡;再搭配每天减少热量摄取616千卡,那么只需严格执行“每天散步到4千米外点麦当劳不吃大包薯条”的策略,一周就可以减重一千克。
听起来虽然有点慢,但还可以接受。不过很遗憾的是,这个减肥方法隐含了数学中“近似”的观念。

第一个近似是假设一套减肥策略对每个人都有同样的效果。事实上,每个人的代谢速率不一样,有些人走1小时会消耗比较多的热量,有些人则会比较少。如果将不同人的体质简化成同样的标准,那么在执行同样的减肥策略时,有人成效就会比较好,有人就会比较差。好消息是,通常胖的人效果比较好,因为胖子走路会消耗比较多热量,倒不一定是因为都那么胖了所以进行减肥会格外认真。

第二个近似则是假设人们在持续使用一套减肥策略时,可以一直达到同样的效果,比如1周瘦1千克,那么1个月就瘦4千克。但问题是,个人体质会跟着体重、跟着生活习惯自动调整。因此实际状况是,执行同样的减肥策略,几个月后效果将会越来越差。好比你是每天吃一个肯德基全家桶的80千克小胖子,减少热量摄取616千卡,散步1.5小时,你认为每天从九块鸡,变成边走边吃六块鸡(减少882千卡),这样坚持半年你就会变成80-52/2=54千克的瘦子吗?!

当饮食习惯调整一阵子后,你的热量摄取基准点会降低,如果想再减肥,就得依据新的饮食习惯再下调你的热量摄取。用数学的话来说,减肥策略造成的体重减少并非线性,而是一个开口向上的凸函数,体重的减少会随着时间而趋缓,时间对体重的负斜率会逐渐变大,最后趋近于0。

为了真的能在一定时间内有一定减肥效果。美国国家糖尿病、消化病与肾病研究所的研究团队搜集了大量数据,整理出上百条变数为身高、体重、饮食习惯、运动习惯的公式,再利用数学技巧,将公式缩减,设计出一套体重模拟器。今天,我们就来看看体重模拟器是如何通过模型计算帮你减肥的。

首先,要在左上方的区块依次输入:现在的体重(请注意旁边有没有人)、性别、年龄和身高。根据后三项指数,软件可以计算出你的基础代谢率。之后,再根据你的运动程度,换算出维持你每天运作的卡路里消耗。运动程度包括工作所需的劳动程度(分成4级),以及休闲时的运动强度(分成5级),越往下表示运动强度越高。根据测试结果,两项都选最低的得分为1.4分,若都是选最高的,则有2.3分。其他条件相同下,每天消耗的热量就是这个分数乘上基础代谢率(为什么在写这些的时候我都觉得很多女性读者会嗤之以鼻,想说这不是基本的吗,你还敢写出来)。

以我的状况来说,工作所需的劳动程度是最低的“一天大多时间都坐在电脑前”;而休闲时的运动则是第四项“一周至少一次以上的规律运动”,最后获得1.7分。

输入这些数值后,将鼠标移到右方,设定你的减肥目标,也就是X天内减重Y千克,再按下“开始模拟”,你就可以看到两组数字:左边显示的是减肥期间内,你每天要减少多少卡路里的摄取;右边是减肥期间后,为了维持这样的身材,你每天该摄取多少卡路里。通常来说,减肥期间得吃少一点,之后维持就不用那么辛苦了。
1.jpg

以一位30岁、体重52千克,身高160公分,总是不运动的女性为例。基础代谢率为1211千卡,每天总消耗1695千卡。若想在60天内瘦到47千克,嗯,竟然跳出警告视窗“模拟结果是不健康的过低BMI指数”。

瘦身计划的60天内,每天摄取的热量必须只有1158千卡,60天后可以回到1591千卡,只比原本少100千卡,差不多是少喝一罐可乐。如果担心60天内无法吃那么少,也可以用提升运动量来增加消耗的热量。以同样的设定来说,要是提升运动量1倍,那减肥的60天内每天可以摄取1457千卡,只比原来减少了238千卡。模拟结果不仅会以数据呈现,还会有好几种不同的图表让你更清楚自己的体重、BMI会如何变化。   

根据体重模拟器得出的体重变化曲线。

nyhue5gz72uV0bdXbEDwe_7FOQm1dFN7imAY9uRkXZN8BwAAlgEAAEpQ.jpg

最后,从这张图我们可以看见,如果依照软件的建议去减肥,那最终趋近平衡的体重会再上升一点点。因此,瘦身男女们请记得在设定目标时标准高一点。俗语不是说了吗?不立大志,难攀高峰。

说的这么科技,你一定想知道这个模拟器的工作原理吧?咱们来详细看看它的模型设计原理:


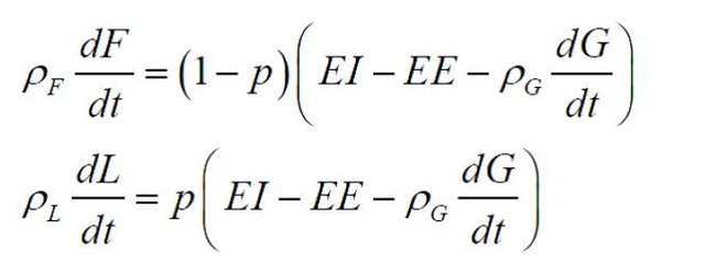
减肥首先要做的就是降低吸收的能量,或增加消耗的能量,而脂肪(F)跟肌肉(L)的变化量(微分)与吸收的能量减去消耗的能量成正比,这个关系可以用下式表示:

1.jpg



其中,F跟L分别代表示脂肪和肌肉,ρ是每千克脂肪/肌肉所储存的能量,ρF约是ρL的5倍。也就是说,增减一千克的肌肉,需要的能量是增减一千克脂肪的五倍。撇开其他太复杂的变数不提,当一个人体重维持定值时,表示一切达到平衡,微分项皆为0。吸收能量与消耗能量相减也会相等。每个人脂肪,则可以依据性别、身高(Height,H)、体重(Body Weight,BW)、还有年纪(age)来计算:
2.jpg

以身高1.6米、体重50千克的一位25岁女孩子来说,算出来是10.13千克;但如果多了5岁,那就多了350克,验证了一句话,岁月不饶人。再来看脂肪跟肌肉是如何消耗能量的:
3.jpg

可以看见,消耗的能量除了跟一些基本参数(K、TEF、AT)有关外,最重要的就是跟脂肪和肌肉现有的质量(F、L)以及变化量(微分项)有关。

根据传统线性模型,1天减少480千卡节食策略的100千克胖子,他会以每年减少22千克的幅度下降。但实际上,根据更精确的模型指出,很抱歉,他最终只能瘦25千克,而且这会在10年内才完成。

听起来真沮丧,比陈奕迅的《十年》听起来还让人伤心。别伤心的太早,因为第1年就能瘦一半,减到88千克;而3年内则可以瘦到76.25千克;最后7年瘦1.25千克。还算是可以接受吧。这个真实的模型告诉我们,一般人无法达到减肥计划,不是计划的错,而是传统线性模型的错。

遗憾的是因为线性模型够简单,所以被广泛使用,结果正确不正确反而是其次的了。这个预估约有正负5%的误差。也就是说最差的情况下,他最后可能只瘦到79千克,而最好的情况下将会是个71千克的瘦子,真好!!接着,比较不同体重的人,采取同样减肥策略的效果。尽管一开始的减肥效果相同,但过了一个时间后,体重比较重的人会继续瘦下去,体重较轻的人会趋缓。因为比较重的人原本就需要比较多的能量来维持运作,特别是肌肉部分。但当能量减少时,先减少的是脂肪,保留下来的较多的肌肉,会造成他的减肥效果更好。但相对来说,需要较长的时间才能得到平衡。我们可以用下面的式子来解释最后的体重变化(ΔBW):
4.jpg

其中Φ跟减重前的脂肪(F)成正比,因为γL>γF,F越大,Φ越大,分母越小,减少的体重越多;ΔEI则是减少的能量摄取,摄取能量越少,越能减肥。

另外,这个公式也记录了运动效果δ。δinit是减肥前的运动强度,Δδ则是减肥时增加的运动强度。可以看见一开始就运动的人,在同样的节食效果下,反而会有比较差的减肥成果;而原本比较胖的人,因为分子BWinit较大,使用运动减肥也会有比较好的效果。

所以如果你已经在跑步了,但还是胖胖的(比如我),那就得有点担心了。

最后,很有趣的是,发明这套体重模拟器的团队还发表了参与实验的小胖子们最常出现的减肥模式——先厉行节食策略一阵子(下图黑色实线),再慢慢松懈,在九个月左右彻底放弃。反应在体重上(上图蓝色实线)就是前六个月体重大幅降低,但之后因为松懈节食,且能量消耗因为一开始的节食而降低,所以体重不再减少,最后又慢慢增加回去。 5.jpg



上图:体重变化量(蓝色实线)、体重变化量范围(蓝色虚线)随时间变化曲线;下图:能量摄入(黑色实线)、能量消耗(红色实线)、能量消耗的置信区间(红色虚线)随时间变化曲线。

本文来自果壳网,略经楼主编辑

       帮助人大经济论坛推广,复制贴子内容(带人大经济论坛网址)并发到其他论坛和网站;或点击贴子标题后的“推广有奖”,把本贴推荐到QQ群或自己的微博(最好@人大经济论坛),然后跟贴贴出链接或截图,证明已作推广的,将获得如下论坛币的奖励!(大家一定要把群现有人数或微博粉丝人数截屏出来哦~不然只能奖励10个币哦)
      
活动奖励方式(同一个群或微博或网站分享多次算一次,所有截图均需显示分享人数,否则默认低档奖励):
1.凡分享的QQ群,人数在100人以下的,视情况奖励10-20论坛币;100-500人的,奖励20-50论坛币(每群限奖励一次);500人以上的奖励50-100论坛币。
2.凡分享到微博,您的粉丝在100人以下的,视情况奖励10-20论坛币;100-500人的,奖励20-50论坛币(每微博限奖励一次);500人以上的奖励50-100论坛币。
3.凡分享到其他网站(包括校内网等),帖子保留一天以上的(24小时后截图),奖励50论坛币



二维码

扫码加我 拉你入群

请注明:姓名-公司-职位

以便审核进群资格,未注明则拒绝

全部回复
2014-7-8 21:10:51
胖胖小龟宝 发表于 2014-7-8 09:16
我曾经在某则报导中看见,有人建议将肥胖列为传染病。没错,就是那种打喷嚏不遮嘴巴,旁边同学隔天就会请病 ...
谢谢楼主分享
二维码

扫码加我 拉你入群

请注明:姓名-公司-职位

以便审核进群资格,未注明则拒绝

2014-7-9 00:18:22
提示: 作者被禁止或删除 内容自动屏蔽
二维码

扫码加我 拉你入群

请注明:姓名-公司-职位

以便审核进群资格,未注明则拒绝

2014-7-9 01:43:25
高端啊!
二维码

扫码加我 拉你入群

请注明:姓名-公司-职位

以便审核进群资格,未注明则拒绝

2014-7-9 02:08:14
謝謝分享
二维码

扫码加我 拉你入群

请注明:姓名-公司-职位

以便审核进群资格,未注明则拒绝

2014-7-9 02:44:55
嘻嘻,谢谢分享
二维码

扫码加我 拉你入群

请注明:姓名-公司-职位

以便审核进群资格,未注明则拒绝

点击查看更多内容…
相关推荐
栏目导航
热门文章
推荐文章

说点什么

分享

扫码加好友,拉您进群
各岗位、行业、专业交流群