经管之家App
让优质教育人人可得
立即打开
全部版块
我的主页
›
论坛
›
计量经济学与统计论坛 五区
›
计量经济学与统计软件
【时间简“识”】7.ARMA路障清除之确定性分析
楼主
胖胖小龟宝
8583
27
收藏
2014-12-16
上一周,我们踏上了ARMA这条不归路,一路上总不见得一直向前,总得有个岔道啥的。今儿个咱就来说说当序列不平稳,存在某种趋势的时候,该怎么办的问题。
先来个大致内容概览:
时间序列的分解(Wold分解定理&Cramer分解定理)
确定性因素分解
趋势分析☆
季节效应分析
综合分析
X-11过程
一、对两个分解定理的理解:
Wold分解定理说明任何平稳序列都可以分解为确定性序列和随机序列之和。它是现代时间序列分析理论的灵魂,是构造ARMA模型拟合平稳序列的理论基础。
Cramer 分解定理是Wold分解定理的理论推广,它说明任何一个序列的波动都可以视为同时受到了确定性影响和随机性影响的综合作用。平稳序列要求这两方面的影响都是稳定的,而非平稳序列产生的机理就在于它所受到的这两方面的影响至少有一方面是不稳定的。
二、确定性因素分解:
传统的因素分解:
长期趋势、
循环波动
、季节性变化、随机波动
现在的因素分解:
长期趋势波动、季节性变化、随机波动
三、趋势分析
目的:
有些时间序列具有非常显著的趋势,我们分析的目的就是要找到序列中的这种趋势,并利用这种趋势对序列的发展作出合理的预测。
常用方法:
1.趋势拟合法:
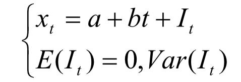
趋势拟合法就是把时间作为自变量,相应的序列观察值作为因变量,建立序列值随时间变化的回归模型的方法。
它分为线性拟合与非线性拟合。
线性拟合适用于长期趋势呈现出线形特征的场合。
表现为:
比如:
非
线性拟合适用于长期趋势呈现出非线形特征的场合,估计的时候能转换成线性模型的都转换成线性模型,用线性最小二乘法进行参数估计;实在不能转换成线性的,就用迭代法进行参数估计。
2.平滑法:
平滑法是进行趋势分析和预测时常用的一种方法。它是利用修匀技术,削弱短期随机波动对序列的影响,使序列平滑化,从而显示出长期趋势变化的规律
常用平滑方法
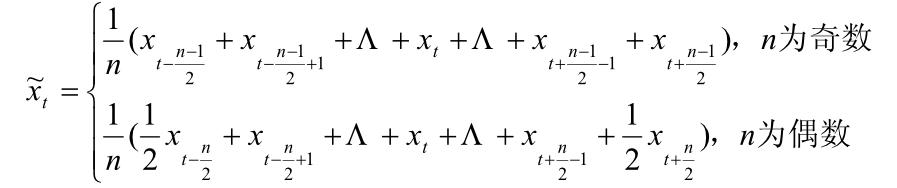
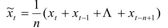
(1)移动平均法:
基本思想:假定在一个比较短的时间间隔里,序列值之间的差异主要是由随机波动造成的。根据这种假定,我们可以用一定时间间隔内的平均值作为某一期的估计值
分类——
n期中心移动平均
n期移动平均
移动平均期数确定的
原则
1)事件的发展有无周期性:以周期长度作为移动平均的间隔长度,以消除周期效应的影响
2)对趋势平滑的要求:移动平均的期数越多,拟合趋势越平滑
3)对趋势反映近期变化敏感程度的要求:移动平均的期数越少,拟合趋势越敏感
(2)指数平滑法:
基本思想:在实际生活中,我们会发现对大多数随机事件而言,一般都是近期的结果对现在的影响会大些,远期的结果对现在的影响会小些。为了更好地反映这种影响作用,我们将考虑到时间间隔对事件发展的影响,各期权重随时间间隔的增大而呈指数衰减。
分类——
简单指数平滑
等价于
☆平滑系数的确定:一般对于变化缓慢的序列,平滑系数常取较小的值;对于变化迅速的序列,平滑系数常取较大的值;经验表明平滑系数的值介于0.05至0.3之间,修匀效果比较好。
Holt两参数指数平滑
(适用于对含有线性趋势的序列进行修匀)
四、季节效应分析
季节指数的概念:所谓季节指数就是用简单平均法计算的周期内各时期季节性影响的相对数
季节模型:
☆季节指数的理解
季节指数反映了该季度与总平均值之间的一种比较稳定的关系
如果这个比值大于1,就说明该季度的值常常会高于总平均值
如果这个比值小于1,就说明该季度的值常常低于总平均值
如果序列的季节指数都近似等于1,那就说明该序列没有明显的季节效应
五、综合分析:
最后简单介绍一下X-11过程:
X-11法是美国商务部标准的调整方法(乘法模型、加法模型),乘法模型适用于序列可被分解为趋势项与季节项的乘积,加法模型适用于序列可被分解为趋势项与季节项的和。乘法模型只适用于序列值都为正的情形。
关于调整后的序列的名字。Eviews在原序列名后加SA,可以改变序列名,将被存储在工作文件中。应当注意,季节调整的观测值的个数是有限制的。X-11只作用于含季节数据的序列,需要至少4整年的数据,最多能调整20年的月度数据及30年的季度数据。
扫码加我 拉你入群
请注明:姓名-公司-职位
以便审核进群资格,未注明则拒绝
全部回复
沙发
slrosssss
2014-12-16 09:30:26
抢沙发
扫码加我 拉你入群
请注明:姓名-公司-职位
以便审核进群资格,未注明则拒绝
藤椅
tstone318
2014-12-16 09:42:34
学习了,感谢胖胖版主分享
扫码加我 拉你入群
请注明:姓名-公司-职位
以便审核进群资格,未注明则拒绝
板凳
phjsy
2014-12-16 18:33:01
非常感谢楼主的无私分享,学习了
扫码加我 拉你入群
请注明:姓名-公司-职位
以便审核进群资格,未注明则拒绝
报纸
gaojianwqjk
2014-12-16 23:35:43
扫码加我 拉你入群
请注明:姓名-公司-职位
以便审核进群资格,未注明则拒绝
地板
11879245
2014-12-17 13:52:28
必须点赞
扫码加我 拉你入群
请注明:姓名-公司-职位
以便审核进群资格,未注明则拒绝
点击查看更多内容…
7楼
liusg74
2014-12-17 17:04:03
支持了
扫码加我 拉你入群
请注明:姓名-公司-职位
以便审核进群资格,未注明则拒绝
8楼
statax
2014-12-18 16:27:19
帮顶一下,时间序列必须玩ARMA,这是最基本的……
扫码加我 拉你入群
请注明:姓名-公司-职位
以便审核进群资格,未注明则拒绝
9楼
leeweb
2014-12-19 12:46:25
谢谢楼主,好人一生平安
扫码加我 拉你入群
请注明:姓名-公司-职位
以便审核进群资格,未注明则拒绝
10楼
phjsy
2014-12-20 00:28:00
感谢分享,支持楼主。期待讲解格兰杰,协整等知识
扫码加我 拉你入群
请注明:姓名-公司-职位
以便审核进群资格,未注明则拒绝
11楼
I_am_strong
2014-12-21 17:46:11
谢谢楼主
扫码加我 拉你入群
请注明:姓名-公司-职位
以便审核进群资格,未注明则拒绝
12楼
gssdzc
2014-12-22 20:03:00
非常感谢分享
扫码加我 拉你入群
请注明:姓名-公司-职位
以便审核进群资格,未注明则拒绝
13楼
端正
2015-1-3 21:37:21
讲得好,老师辛苦!
扫码加我 拉你入群
请注明:姓名-公司-职位
以便审核进群资格,未注明则拒绝
14楼
clover_yy
2015-1-8 11:34:31
意犹未尽?
扫码加我 拉你入群
请注明:姓名-公司-职位
以便审核进群资格,未注明则拒绝
15楼
大雨_将至
2015-1-11 16:20:02
非常感谢楼主的无私分享,学习了
扫码加我 拉你入群
请注明:姓名-公司-职位
以便审核进群资格,未注明则拒绝
16楼
soccy
2015-2-9 05:42:09
可以谈一谈break point分析
扫码加我 拉你入群
请注明:姓名-公司-职位
以便审核进群资格,未注明则拒绝
17楼
eric5488
2015-2-25 11:42:06
這比ARMA略簡單, 可看懂一些, 謝謝
扫码加我 拉你入群
请注明:姓名-公司-职位
以便审核进群资格,未注明则拒绝
18楼
疏影倾斜
2015-4-12 09:46:51
https://bbs.pinggu.org/thread-2982899-1-1.html
扫码加我 拉你入群
请注明:姓名-公司-职位
以便审核进群资格,未注明则拒绝
19楼
TFBHG24865
2015-7-24 21:25:20
谢谢,复习一遍
扫码加我 拉你入群
请注明:姓名-公司-职位
以便审核进群资格,未注明则拒绝
20楼
zhoudawei
2015-10-26 00:39:46
谢谢讲解
扫码加我 拉你入群
请注明:姓名-公司-职位
以便审核进群资格,未注明则拒绝
21楼
圣魔
2015-10-26 17:23:20
扫码加我 拉你入群
请注明:姓名-公司-职位
以便审核进群资格,未注明则拒绝
22楼
hekd
2015-11-17 23:45:03
支持原创,谢谢分享
扫码加我 拉你入群
请注明:姓名-公司-职位
以便审核进群资格,未注明则拒绝
23楼
calsunny
2015-11-18 10:07:44
谢谢,谢谢,学到了好多
扫码加我 拉你入群
请注明:姓名-公司-职位
以便审核进群资格,未注明则拒绝
24楼
jibayang2009
2016-3-11 17:55:51
学习了,感谢胖胖版主分享
扫码加我 拉你入群
请注明:姓名-公司-职位
以便审核进群资格,未注明则拒绝
25楼
jiang25u
2016-5-13 20:13:36
ganxie!!
扫码加我 拉你入群
请注明:姓名-公司-职位
以便审核进群资格,未注明则拒绝
26楼
joesrd
2016-8-27 08:30:52
支持楼主文章汇总
扫码加我 拉你入群
请注明:姓名-公司-职位
以便审核进群资格,未注明则拒绝
27楼
lindonji
2017-2-16 14:41:01
感谢楼主分享
扫码加我 拉你入群
请注明:姓名-公司-职位
以便审核进群资格,未注明则拒绝
28楼
piiroja
2020-4-15 05:30:47
thx for sharing~
扫码加我 拉你入群
请注明:姓名-公司-职位
以便审核进群资格,未注明则拒绝
相关推荐
求助ARMA(1,1)模型表达式
[求助]急问:这个序列ARMA(P,Q)选多少呢?
[求助]請大家幫忙看一下資料
请大虾帮我判断下ARMA分析结果
【求助】请问我的这个ARMA的方程该如何写?
看看我的自相关偏相关图,给点ARMA定阶意见。。
我自己写的ARMA矩阵构造方式模型
出现异常值,ARMA预测问题
如何通过自相关图判断要做的AR、MA、ARMA的阶数
ARMA不知道是六阶还是一阶好
栏目导航
计量经济学与统计软件
行业分析报告
真实世界经济学(含财经时事)
经管文库(原现金交易版)
宏观经济学
Stata专版
热门文章
OpenClaw+Claude Code丨从"手动科研"到 ...
OpenClaw vs Hermes:一文深入理解两大通用 ...
CDA数据分析脱产就业班在2026年3月7日开班了 ...
CDA 认证考试大纲 2025 重磅更新:一二级考 ...
从数据源头到商业洞察:CDA数据分析师视角下 ...
斯坦福2026报告:中国AI模型追上美国(英)-4 ...
OpenClaw群虾研究报告
论西方经济学的结构性缺陷与中国经济的破局 ...
我国新兴产业发展活力研究2025
中国智能电网发展成就与趋势
推荐文章
五一充电,学术突围!四大AI赋能王牌课程, ...
关于学术研究和论文发表的一些建议
几种免费下载文献的方法----我的文献应助经
【必看】【本版版规,欢迎发悬赏贴求助】
【新课】26年3月|Gemini辅助论文写作与数据 ...
关于如何利用文献的若干建议
关于科研中如何学习基础知识的一些建议 (一 ...
一个自编的经济学建模小案例 --写给授课本科 ...
AI智能体赋能教学改革: 全国AI教育教学应用 ...
2025中国AIoT产业全景图谱报告-406页
说点什么
分享
微信
QQ空间
QQ
微博
扫码加好友,拉您进群
各岗位、行业、专业交流群