经管之家App
让优质教育人人可得
立即打开
全部版块
我的主页
›
论坛
›
提问 悬赏 求职 新闻 读书 功能一区
›
经管百科
›
爱问频道
求解二元函数对向量求二阶导数。求助!
楼主
fuligotop
1780
0
收藏
2014-12-26
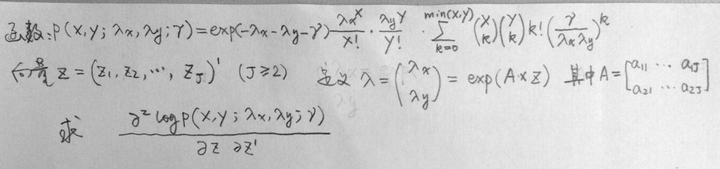
这段时间建模遇到一个向量求导的问题:
请各位帮忙。谢谢!
扫码加我 拉你入群
请注明:姓名-公司-职位
以便审核进群资格,未注明则拒绝
相关推荐
求助,怎么用软件求出已知二元函数的协方差?
请教拟凹
请问各位,如果把二重积分看做是寝室地面的话,那么二元函数z=f(x,y)中每个点就会对应
问一个二元函数极值的问题
自己写的二元函数无法在outer()等函数上使用!
两个循环的输出问题
求指教对比较复杂的二元函数进行多次积分计算
求问R怎么求二元函数的定积分啊?
如何画出二元函数的三维图
二元函数z=xy(3-x-y)的极值点为?
栏目导航
爱问频道
经管文库(原现金交易版)
SPSS论坛
学术道德监督
金融学(理论版)
经管在职研
热门文章
当Stata遇上 AI 智能体:你的实证研究,正在 ...
CDA 认证考试大纲 2025 重磅更新:一二级考 ...
Expert Choice软件(ahp层次分析法软件)含序 ...
2026全球数智化人才指数报告
2026 AI趋势报告(中英)
Strategic Project Management战略项目管理
台積電技術論壇 2026
比亚迪一季度净利大跌55% 六年来最大跌幅
从数据仓库到智能取数:CDA数据分析师视角下 ...
stata里如何对面板数据进行Fractional Logi ...
推荐文章
五一充电,学术突围!四大AI赋能王牌课程, ...
关于学术研究和论文发表的一些建议
几种免费下载文献的方法----我的文献应助经
【必看】【本版版规,欢迎发悬赏贴求助】
【新课】26年3月|Gemini辅助论文写作与数据 ...
关于如何利用文献的若干建议
关于科研中如何学习基础知识的一些建议 (一 ...
一个自编的经济学建模小案例 --写给授课本科 ...
AI智能体赋能教学改革: 全国AI教育教学应用 ...
2025中国AIoT产业全景图谱报告-406页
说点什么
分享
微信
QQ空间
QQ
微博
扫码加好友,拉您进群
各岗位、行业、专业交流群